subventions associations 2009(1)
Transcription
subventions associations 2009(1)
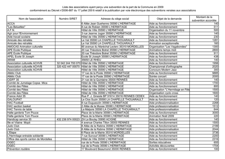
Liste des associations ayant perçu une subvention de la part de la Commune en 2009 conformément au Décret n°2006-887 du 17 juillet 200 6 relatif à la publication par voie électronique des subventions versées aux associations Nom de l'association ACCA "Les Beluettes" A.F.N. Agir pour l'Environnement Aide travail scolaire Amicale des retraités Amicale des retraités AMOCAS Animation culturelle APE Ecole Publique APE Ecole Publique APEL Ecole St Joseph ARAM Association culturelle ACHVB Association culturelle ACHVB Association culturelle ACHVB Atlétic Club Atlétic Club CIDFF 35 Comité de Jumelage Copsa Mica Comité des Fêtes Comité des Fêtes Comité des Fêtes France Adot 35 GALOUPAT HAC Football HAC section basket HAC Tennis de table Halte garderie Tom Pouce Halte garderie Tom Pouce Handicap service 35 Ille et Vilaine Mopti Judo Club Judo Club L'Etape L'Hermitage entraide solidarité Office des sports canton de Mordelles OGEC OGEC Prévention routière Numéro SIRET Adresse du siège social 6 Allée Jean Guehenno 35590 L'HERMITAGE 8 rue de Robien 35590 L'HERMITAGE Hôtel de Ville 35590 L'HERMITAGE 3 rue Jeanne Jugan 35590 L'HERMITAGE Hôtel de Ville 35590 L'HERMITAGE Le Val 35590 LA CHAPELLE THOUARAULT Le Val 35590 LA CHAPELLE THOUARAULT 85 avenue du Maréchal Leclerc 35310 MORDELLES 20 rue Théodore Botrel 35590 L'HERMITAGE 20 rue Théodore Botrel 35590 L'HERMITAGE Ecole St Joseph 35590 L'HERMITAGE 35650 LE RHEU 32 042 244 700 070 Hôtel de Ville 35590 L'HERMITAGE 320 422 447 00070 Hôtel de Ville 35590 L'HERMITAGE Hôtel de Ville 35590 L'HERMITAGE 17 rue de la Poste 35590 L'HERMITAGE 17 rue de la Poste 35590 L'HERMITAGE 21 rue de la Quintaine 35000 RENNES Hôtel de Ville 35590 L'HERMITAGE Hôtel de Ville 35590 L'HERMITAGE Hôtel de Ville 35590 L'HERMITAGE Hôtel de Ville 35590 L'HERMITAGE Rue P. J. Gineste BP 91614 35016 RENNES CEDEX Le Clos Suzin 35590 LA CHAPELLE THOUARAULT 8 rue Duguesclin 35590 L'HERMITAGE 2 Allée de la Musse 35590 L'HERMITAGE La Malpois 35590 LA CHAPELLE THOUARAULT Place de la Mairie 35590 L'HERMITAGE Place de la Mairie 35590 L'HERMITAGE 432 236 974 00023 ZA Le Boulay 35690 ACIGNE 4 avenue Charles Tillon 35000 RENNES 8 Allée de la Rabine 35590 L'HERMITAGE 8 Allée de la Rabine 35590 L'HERMITAGE 6 Place de la Mairie 35310 MORDELLES 7 rue Surcouf 35590 L'HERMITAGE Hôtel de Ville 35590 L'HERMITAGE rue de la Poste 35590 L'HERMITAGE rue de la Poste 35590 L'HERMITAGE 17 Boulevard Beaumond 35000 RENNES Montant de la subvention accordée Aide au fonctionnement 140 Aide au fonctionnement 511 Organisation du 11 novembre 500 Aide au fonctionnement 140 Aide au fonctionnement 230 Aide au fonctionnement 1281 Animation exceptionnelle 160 Organisation "Les Vagabondes" 1300 Animations temps midi 2800 Aide au fonctionnement 911 Aide au fonctionnement 438 Aide au fonctionnement 140 Aide au fonctionnement 1956 Championnat d'orthographe 2020 Concours Modern Jazz 300 Aide au fonctionnement 9885 Soirée concert 2000 Aide au fonctionnement 140 Aide au fonctionnement 1700 Aide au fonctionnement 800 Organisation "L'Hermitage en Fête" 1500 Organisation cyclo cross 1600 Aide au fonctionnement 140 Aide au fonctionnement 120 Aide professionnalisation 2268 Aide professionnalisation 1512 Aide professionnalisation 644 Aide au fonctionnement 3000 Animation Noël 2009 220 Aide au fonctionnement 140 Aide au fonctionnement 1500 Aide au fonctionnement 2199 Aide professionnalisation 2044 Aide au fonctionnement 3736 Aide au fonctionnement 2200 Aide au fonctionnement 2316 Sorties éducatives 655 Activités découvertes 1704 Aide au fonctionnement 100 Objet de la demande RAMDAM Resto du cœur Sclérosés en plaques Solidarité 35 Roumanie Tennis Club de la Flume Tennis Club de la Flume Tennis Club de la Flume U.N.C. Union sportive l'Hermitage 1 rue Anatole Le Braz 35590 L'HERMITAGE 4 rue d'Ouessant 35760 SAINT GREGOIRE 7 Avenue Albert Durand 31700 BLAGNAC 4 avenue Charles Tillon 35000 RENNES 10 rue du Haut Village LA CHAPELLE THOUARAULT 10 rue du Haut Village LA CHAPELLE THOUARAULT 10 rue du Haut Village LA CHAPELLE THOUARAULT 2 rue de Mordelles 35590 L'HERMITAGE 2 allée Olivier Moussy 35590 L'HERMITAGE Aide au fonctionnement Aide au fonctionnement Aide au fonctionnement Aide au fonctionnement Aide au fonctionnement Aide professionnalisation Aide pérennisation emploi jeune Aide au fonctionnement Aide au fonctionnement 4800 350 200 300 1291 980 863,33 350 1516
Documents pareils
subventions associations 2010
conformément au Décret n°2006-887 du 17 juillet 200 6 relatif à la publication par voie électronique des subventions versées aux associations
Nom de l'association