1. réglementation concernant l`hygiène en restauration

Transcription

1. réglementation concernant l`hygiène en restauration
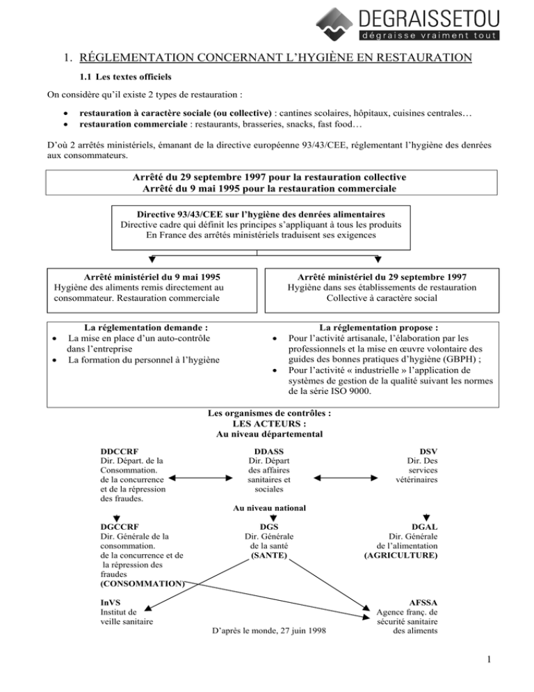
1. RÉGLEMENTATION CONCERNANT L’HYGIÈNE EN RESTAURATION
1.1 Les textes officiels
On considère qu’il existe 2 types de restauration :
•
•
restauration à caractère sociale (ou collective) : cantines scolaires, hôpitaux, cuisines centrales…
restauration commerciale : restaurants, brasseries, snacks, fast food…
D’où 2 arrêtés ministériels, émanant de la directive européenne 93/43/CEE, réglementant l’hygiène des denrées
aux consommateurs.
Arrêté du 29 septembre 1997 pour la restauration collective
Arrêté du 9 mai 1995 pour la restauration commerciale
Directive 93/43/CEE sur l’hygiène des denrées alimentaires
Directive cadre qui définit les principes s’appliquant à tous les produits
En France des arrêtés ministériels traduisent ses exigences
Arrêté ministériel du 9 mai 1995
Hygiène des aliments remis directement au
consommateur. Restauration commerciale
•
•
La réglementation demande :
La mise en place d’un auto-contrôle
dans l’entreprise
La formation du personnel à l’hygiène
Arrêté ministériel du 29 septembre 1997
Hygiène dans ses établissements de restauration
Collective à caractère social
•
•
La réglementation propose :
Pour l’activité artisanale, l’élaboration par les
professionnels et la mise en œuvre volontaire des
guides des bonnes pratiques d’hygiène (GBPH) ;
Pour l’activité « industrielle » l’application de
systèmes de gestion de la qualité suivant les normes
de la série ISO 9000.
Les organismes de contrôles :
LES ACTEURS :
Au niveau départemental
DDCCRF
Dir. Départ. de la
Consommation.
de la concurrence
et de la répression
des fraudes.
DDASS
Dir. Départ
des affaires
sanitaires et
sociales
DSV
Dir. Des
services
vétérinaires
Au niveau national
DGCCRF
Dir. Générale de la
consommation.
de la concurrence et de
la répression des
fraudes
(CONSOMMATION)
DGS
Dir. Générale
de la santé
(SANTE)
InVS
Institut de
veille sanitaire
D’après le monde, 27 juin 1998
DGAL
Dir. Générale
de l’alimentation
(AGRICULTURE)
AFSSA
Agence franç. de
sécurité sanitaire
des aliments
1
1.2 Généralités sur l’hygiène en restauration
Les microbes sont partout : certains sont pathogènes et sont responsables de toxi-infections
alimentaires. Ils sont le plus souvent invisibles rendant ainsi difficile la sensibilisation de tous à
l’hygiène.
L’aliment, avant d’être consommé, sera en contact avec des matières contaminées (air, surfaces inertes
ou vivantes). On parle alors de contamination. C’est la première étape de tout processus d’infection
microbienne.
Ensuite, selon les conditions qu’ils rencontrent dans le milieu dans lequel ils ont été introduits, les
microbes vont de développer. Cette seconde étape est la multiplication.
Pour diminuer les risques liés à la présence de ces microbes, on jouera donc sur ces deux étapes. On
limitera leur introduction et donc la contamination et on limitera leur multiplication. Pour ce faire, il
faudra respecter les principes d’hygiène suivants :
•
Minimiser les contaminations initiales venant des matières 1ères, du milieu de travail, de la
main d’œuvre, de la méthode de travail et du matériel
= REGLE DES « 5 M »
•
Diminuer la multiplication en maîtrisant les conditions optimales de développement des
microbes (température, humidité, pH, qualité de l’air)
Qu’est ce qu’une toxi-infection alimentaire ?
C’est une maladie due à la présence de microbes ou de substances toxiques dans un aliment
consommé. On parle de TIAC (Toxi-infection Alimentaire Collective) lorsqu’au moins 2 personnes
ayant mangé le même plat au même endroit le même jour présentent les mêmes symptômes et les
mêmes troubles. La déclaration d’une TIAC est obligatoire pour tous les établissements publics ou
privés. La loi demande d’ailleurs de toujours conserver en échantillon de ce qui a été servi aux clients
pendant 72 h minimum (= le plat témoin) afin de faciliter les recherches de la cause par les services
compétents.
•
Les toxi-infections les plus connues sont d’origine bactérienne :
La salmonellose (dans les œufs essentiellement)
Le boutulisme (dans les conserves mal stérilisées : bactérie 100 000 fois plus toxique que la
mort aux rats !!!)
La listériose (dans les produits laitiers, les charcuteries : danger pour les femmes enceintes)
•
•
•
D’autres sont d’origine parasitaire :
Le ténia ou ver solitaire (dans la viande mal cuite)
La douve (dans le cresson sauvage)
L’anasakis (attention aux sushis !!!)
•
•
•
Enfin, plus rares, d’origine chimique :
Colorants
Additifs alimentaires
pesticides
•
•
2
1.3 Pour maîtriser l’hygiène en restauration : le système HACCP
En anglais : « Hazard Analysis Critical Control Point »
En français : « Analyse des dangers et maîtrise des points critiques »
Cette méthode de travail venant des Etats Unis (1970) est préconisée par la nouvelle
réglementation. Pourquoi ? Le consommateur est demandeur en matière de sécurité alimentaire. Avant,
la loi imposait une obligation de moyens à mettre en œuvre pour s’assurer d’une bonne hygiène. Ces
anciens textes ne prenaient pas en compte les innovations technologiques. La nouvelle directive
européenne a conduit à une obligation de résultats : Le restaurateur doit donc maîtriser la qualité et la
sécurité alimentaire, quelque soit les moyens utilisés, du moment qu’il en a la preuve de l’efficacité,
par l’intermédiaire de documents de traçabilités mis en place par l’HACCP.
LES MISSIONS DU SYSTÈME HACCP
A. L’ANALYSE DES DANGERS
Définition : un danger est ce qui menace ou
compromet la sécurité ou l’existence d’une
personne ou d’une chose.
L’analyse des dangers repose sur l’examen de
quatre points. Les trois premiers, font partie des
connaissances actuelles, il s’agit de :
La nature de l’agent dangereux,
La gravité
engendre,
des
manifestations
qu’il
La fréquence de ces manifestations ou de la
présence du danger
Le dernier point fait partie du futur :
Le risque
Définition : le risque se caractérise par la probabilité
de manifestation d’un danger.
Pour un aliment, c’est au moment de sa
consommation qu’il peut survenir.
L’étude de la gravité et de la fréquence permet de
hiérarchiser les dangers existants et de pouvoir ainsi
s’occuper en priorité de ceux qui arrivent en tête de
liste.
B. LA MAÎTRISE DES RISQUES
Cette mission a pour objectif de déterminer les
moyens à mettre en œuvre pour s’assurer que les
dangers sont maîtrisés.
Elle vient bien entendu à la suite de la première
mission qui était l’analyse des dangers.
La maîtrise des risques revêt en réalité deux
aspects :
Les points déterminants
Il s’agit de l’ensemble des mesures préventives que
l’on peut mettre en œuvre et qui sont contrôlées par
des paramètres non mesurables.
La maîtrise des points critiques
Il s’agit des mesures préventives que l’on peut
mettre en œuvre et qui sont contrôlées par des
paramètres mesurables.
C. LA SURVEILLANCE DES CONDITIONS
D’EXÈCUTION
La mission qui suit directement celle qui consiste à
établir toutes les procédures de maîtrise est une
mission de contrôle.
En effet, on doit s’assurer que les procédures que
l’on a mises en place sont effectivement suivies et
qu’elles seules sont mises en œuvre. C’est ce que
l’on appelle la surveillance des conditions
d’exécution.
Dans ce domaine, on parle le plus souvent de
contrôles et d’autocontrôles qui ont pour seul
objectif de vérifier que le système HACCP construit
est effectivement suivi au sein de l’établissement
3
D. L’EVOLUTION DES PERFORMANCES
L’HACCP est un système préventif de maîtrise qui
vise à garantir la sécurité des aliments.
_______________
L’évolution des performances à pour objectif de
vérifier que le système HACCP mis en œuvre est
effectivement efficace et qu’il permet de garantir la
sécurité du consommateur. Ce système d’évaluation
des performances permet de rendre le système
HACCP toujours plus efficace et de le remettre
régulièrement à jour.
LES PRINCIPES DU SYSTÉME HACCP
Le système HACCP est basé sur 7 principes
d’action, il est impératif de les respecter et de les
suivre pour établir un système cohérent et efficace.
A. IDENTIFIER ET HIERARCHISER LES
DANGERS
A ce stade, on identifie les dangers associés à la
fabrication, la transformation, la préparation et/ou
l’utilisation d’une matière première ou d’un produit
fini. Pour réaliser cette identification, il est utile de
se servir des connaissances acquises et des données
bibliographiques. Cette recherche peut être longue,
mais elle permet d’obtenir ensuite un système
efficace.
Lorsque l’on a identifié l’ensemble des dangers, il
est essentiel de les hiérarchiser afin de ne retenir
que ceux qui ont une réelle importance pour la
salubrité du produit.
L’HACCP est une approche documentée et
vérifiable pour l’identification des dangers des
mesures préventives, des points critiques pour la
maîtrise et pour la mise en œuvre d’un système de
surveillance.
_______________
Les principes de l’HACCP sont internationalement
reconnus et peuvent être appliqués dans tous les
secteurs de l’agro-alimentaire.
E. ÉTABLIR DES ACTIONS CORRECTIVES
Les actions correctives sont les actions à mettre en
œuvre lorsqu’un risque n’est plus maîtrisé, c'est-àdire lorsque les critères correspondants ne sont pas
respectés.
F. VÉRIFIER
Il s’agit ici de vérifier, par une série d’informations
complémentaires, que le système HACCP
fonctionne efficacement, c'est-à-dire qu’il est
respecté et qu’il permet de garantir la sécurité de
consommateur.
G. ÉTABLIR UN SYSTÈME EFFICACE
D’ENREGISTREMENT
Il s’agit d’établir ici un système d’enregistrement
des procédures correspondant aux six étapes
précédentes.
B. ETABLIR LES MESURES PRÉVENTIVES
On détermine ici les points critiques pour la
maîtrise et les points déterminants ; c’est à leur
niveau que les dangers peuvent être maîtrisés.
Cette étape sera revue en détail dans la partie
suivante.
C. ÉTABLIR LES CRITÈRES
Les critères sont soit mesurables soit non
mesurables. Les critères mesurables sont les valeurs
limités et les tolérances éventuelles dont le respect
atteste de la maîtrise effective d’un point critique.
Les critères non mesurables donnent lieu, le plus
souvent, à des observations plus ou moins
subjectives. (ex : contrôle visuel de la propreté).
D. ÉTABLIR ET METTRE EN ŒUVRE DES
PROCÉDURES DE SURVEILLANCE
Les mesures de surveillance établies et mises en
œuvre ont pour objectif de s’assurer de la maîtrise
effective d’un risque.
RÉSUMÉ
Le système HACCP comporte 4 missions
principales :
1.
2.
3.
4.
Analyse des dangers
Maîtrise des risques
Surveillance des conditions d’exécution
Évaluation de l’efficacité
L e système HACCP revêt 7 principes d’action :
1.
2.
3.
4.
5.
6.
7.
Identifier et hiérarchiser les dangers
Établir les mesures préventives
Établir les critères opérationnels
Établir un système de surveillance
Établir les actions correctives
Établir des procédures de vérification
Établir un système documentaire
4