classes prepa lettres - LYCÉE RAYMOND QUENEAU

Transcription

classes prepa lettres - LYCÉE RAYMOND QUENEAU
CIO Villeneuve d'Ascq
SEPTEMBRE 2009
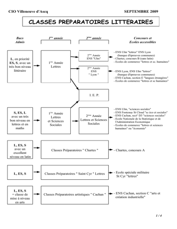
CLASSES PREPARATOIRES LITTERAIRES
Bacs
Admis
L, en priorité
ES, S, avec un
très bon niveau
littéraire
1ère année
2ème année
2ème Année
ENS "Ulm"
1ère Année
Lettres
2ème Année
ENS
" Lyon "
Concours et
Ecoles accessibles
- ENS Ulm "lettres" ENS Lyon
(banque d'épreuves communes)
- Chartes, concours B (sans latin)
- Ecoles de commerce "lettres et sc. humaines"
- ENS Lyon, ENS Ulm "lettres"
(banque d'épreuves communes)
- ENS Cachan, section E "langues étrangères"
- Ecoles de commerce "lettres et sc humaines"
I. E. P.
S, ES, L
avec un très
bon niveau en
lettres et en
maths
ère
1 Année
Lettres
et Sciences
Sociales
2ème Année
Lettres et Sciences
Sociales
- ENS Ulm, "sciences sociales"
- ENS Fontenay St Cloud "sc éco et sociales"
- ENS Cachan, sect° D3 "sciences sociales"
- Ecole Nationale de la Statistique et de
l'Administration Economique
- Ecoles de commerce "lettres et sciences
humaines" ou "économie"
L, ES, S
avec un
excellent
niveau en latin
Classes Préparatoires " Chartes "
L, ES, S
Classes Préparatoires " Saint Cyr " Lettres
- Ecole spéciale militaire
St Cyr "lettres"
Classes Préparatoires artistiques " Cachan "
- ENS Cachan, section C "arts et
création industrielle"
L, ES, S
+ classe de
mise à niveau
en arts
- Chartes, concours A
1/4
CIO Villeneuve d'Ascq
SEPTEMBRE 2009
LES CLASSES PREPARATOIRES LITTERAIRES
ORGANISATION et PROFIL des PREPA LETTRES
Les deux types principaux sont :
- les classes préparatoires Lettres, accessibles à tous les bacheliers, conduisent aux concours
des ENS (Ecoles Normales Supérieures : Ulm, Lyon).
Un bon niveau de culture générale, en particulier dans les matières littéraires, est requis.
- les classes préparatoires Lettres et Sciences sociales, ouvertes aux bacheliers S, ES, L
avec un bon niveau en maths, conduisent au concours Lettres et Sciences sociales de l’ENS.
Bon niveau exigé en culture générale (surtout littéraire) et en mathématiques.
DUREE et OBJECTIF des PREPA LETTRES
En 1 an, elles permettent de présenter :
 l’entrée dans certains IEP (Instituts d’Etudes Politiques) grâce à un enseignement
complémentaire en histoire - géographie, français, langues vivantes,
En 2 ans, elles permettent de préparer :
 l’entrée dans les ENS,
 l’école des Chartes (concours B sans latin),
 St Cyr
 l’accès aux Grandes Ecoles de Commerce et de Gestion, (via le concours Lettres et
Sciences humaines).
Dans tous les cas, elles constituent une excellente formation intellectuelle et culturelle et permettent
de bien négocier l'obtention d’UE de Licence avec l’Université (sous réserve d’y être inscrit
simultanément).
Sites utiles : www.education.gouv.fr/cid18/classes-preparatoires-aux-grandes-ecoles-c.p.g.e.html
www.prepas.org : portail des professeurs de CPGE
www.ens.fr : ENS Ulm
www.ens-cachan.fr : ENS Cachan
www.ens-lyon.fr : ENS Lyon
www.ensae.fr : ENSAE
www.enc.sorbonne.fr : Ecole de Chartes
www.st-cyr.terre.defense.gouv.fr : Ecole Saint Cyr
2/4
CIO Villeneuve d'Ascq
CLASSES PREPARATOIRES LETTRES
La 1ère année donne une culture générale. Elle comporte un tronc commun et des options.
Horaire hebdomadaire de la Classe Préparatoire de Lettres (1ère année)
DISCIPLINES
ENSEIGNEMENTS OBLIGATOIRES
Philosophie
Français
Histoire
Langue vivante étrangère A
Géographie
Education physique et sportive
Langues et cultures de l'Antiquité
Langue vivante étrangère B
ENSEIGNEMENTS A OPTIONS
- Matières de renforcement possibles
Grec
Latin
Géographie
Langue vivante étrangère B
- Matières complémentaires possibles
Musique ou Arts plastiques
Cinéma-audiovisuel ou Théâtre ou
Histoires des arts
COURS
4
5
5
4
2
2
3
2
2
2
2
2
6
4
Il est prévu pour la session 2009, une banque d'épreuves littéraires communes
aux concours d'admission à la section "lettres" des écoles normales supérieures.
Source : B. O. n° 23 du 14 juin 2007
3/4
CLASSES PREPARATOIRES LETTRES ET SCIENCES SOCIALES
Elles comportent un enseignement de mathématiques et de sciences sociales préparant :
 au concours Sciences Sociales de l’ENS Ulm

"
Sciences Economiques et Sociales de l’ENS Lyon

"
Sciences Sociales de l’ENS Cachan (concours D3)

"
ENSAE (Ecole Nationale Supérieure de la Statistique et de l’Administration Economique)

"
écoles de Commerce : concours Lettres et Sciences Humaines ou Economie
Horaire hebdomadaire des Classes de Lettres et Sciences sociales (1ère et 2nde années)
DISCIPLINES
1ère année
2ème année
ENSEIGNEMENTS OBLIGATOIRES
COURS +TD
COURS +TD
Français
Philosophie
Histoire
Mathématiques (a)
Langue vivante étrangère
Sciences sociales
Education physique et sportive
ENSEIGNEMENTS A OPTION (b)
Latin
Grec
Géographie
Langue vivante étrangère
Sciences sociales
4
4
4
3+1
2
4
2
4
4
4
3+2
2
4
2
COURS
COURS
3
3
3
4
2
3
3
3
4
2
-
1
4
ENSEIGNEMENTS FACULTATIFS (c)
Géographie historique de la France
Histoire moderne de la France
(a) Plus une heure trente de cours de mathématiques pour les étudiants titulaires du baccalauréat général
séries Littéraire ou Economique et Sociale.
(b) Au choix de l’étudiant.
(c) Enseignements facultatifs complémentaires, destinés aux étudiants souhaitant préparer le concours d’entrée
à l’Ecole nationale des Chartes. Cet enseignement est dispensé dans les établissements disposant de classes
préparatoires à l’Ecole nationale des Chartes.
4/4