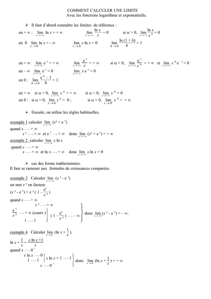
Page 1 COMMENT CALCULER UNE LIMITE Avec les fonctions

Transcription

Page 1 COMMENT CALCULER UNE LIMITE Avec les fonctions
COMMENT CALCULER UNE LIMITE
Avec les fonctions logarithme et exponentielle.
Ø Il faut d’abord connaître les limites de référence :
ln x
en + ∞ : xlim
ln x = + ∞
lim
=0
→ +∞
x → +∞
x
en 0 lim ln x = - ∞
lim x ln x = 0
x→0
en + ∞
en – ∞
en 0 :
en + ∞
ln x
si α > 0, xlim
α =0
→ +∞ x
ln (1 + h)
lim
=1
h
h→0
x→0
ex
=+∞
x
lim x e x = 0
x → –∞
lim e x = + ∞
x → +∞
si α > 0,
lim
x → +∞
lim e x = 0
x → –∞
eh–1
=1
h
h→0
lim
x → +∞
lim
si α > 0, xlim
xα=+∞
→ +∞
en 0 : si α > 0, lim x α = 0 ;
x→0
si α < 0, xlim
xα=0
→ +∞
si α < 0, lim + x α = + ∞
x→0
Ø Ensuite, on utilise les règles habituelles.
exemple 1 calculer xlim
(x² + e x)
→ +∞
quand x → + ∞
x ² → + ∞ et e x → + ∞
donc xlim
(x² + e x) = + ∞
→ +∞
exemple 2 calculer xlim
x ln x
→ +∞
quand x → + ∞
x → + ∞ et ln x → + ∞
donc xlim
x ln x = 0
→ +∞
Ø cas des forme indéterminées.
Il faut se ramener aux formules de croissances comparées.
exemple 3 Calculer xlim
(x ² - e x)
→ +∞
on met x ² en facteur.
ex
x
(x ² - e ) = x ² ( 1 – )
x²
quand x → + ∞
x ² → + ∞

x
e

x
→ + ∞ (cours ) 
e
donc xlim
(x ² - e x) = – ∞.
x²
→ +∞
 ( 1 – ) → – ∞ 
x²


1 → 1
exemple 4 Calculer xlim
(ln x +
→0
+
1
).
x
1 x ln x +1
=
x
x
quand x → 0 +
x ln x → 0 

 x ln x + 1 → 1 
1
→
1
1 
 donc lim (ln x + ) = + ∞
x
→
0
x
x → 0 +

ln x +
+
ex
x αe–x= 0
α = + ∞ et xlim
→
+∞
x
exemple 5
Calculer xlim
(x ² – 4 x + 3) e – x
→ +∞
Ici, il faut développer : (x ² – 4 x + 3) e – x = x ² e
quand x → + ∞
x ² e – x → 0 
x e – x → 0  lim (x ² – 4 x + 3) e – x = 0
x → +∞
e – x → 0 
–x
–4xe
–x
exemple 6 Calculer xlim
(x ² - 2) e x
→ –∞
Ici, il faut développer : (x ² - 2) e x = x ² e x – 2 e x =
on pose X = - x, on a alors xlim
X=+∞
→ –∞
x²
2
–
e– x e -x
et x ² = X²
X² 2
–
eX eX
quand x → – ∞ , X → + ∞
eX
X²
→ + ∞ donc
→ 0 

X²
eX
lim
(x ² - 2) e x = 0

2
x
→
–∞
e X → + ∞ donc X → 0 
e

on a : (x ² - 2) e x =
+ 3 e –x