liste rues zfu 15 mars 2004

Transcription

liste rues zfu 15 mars 2004
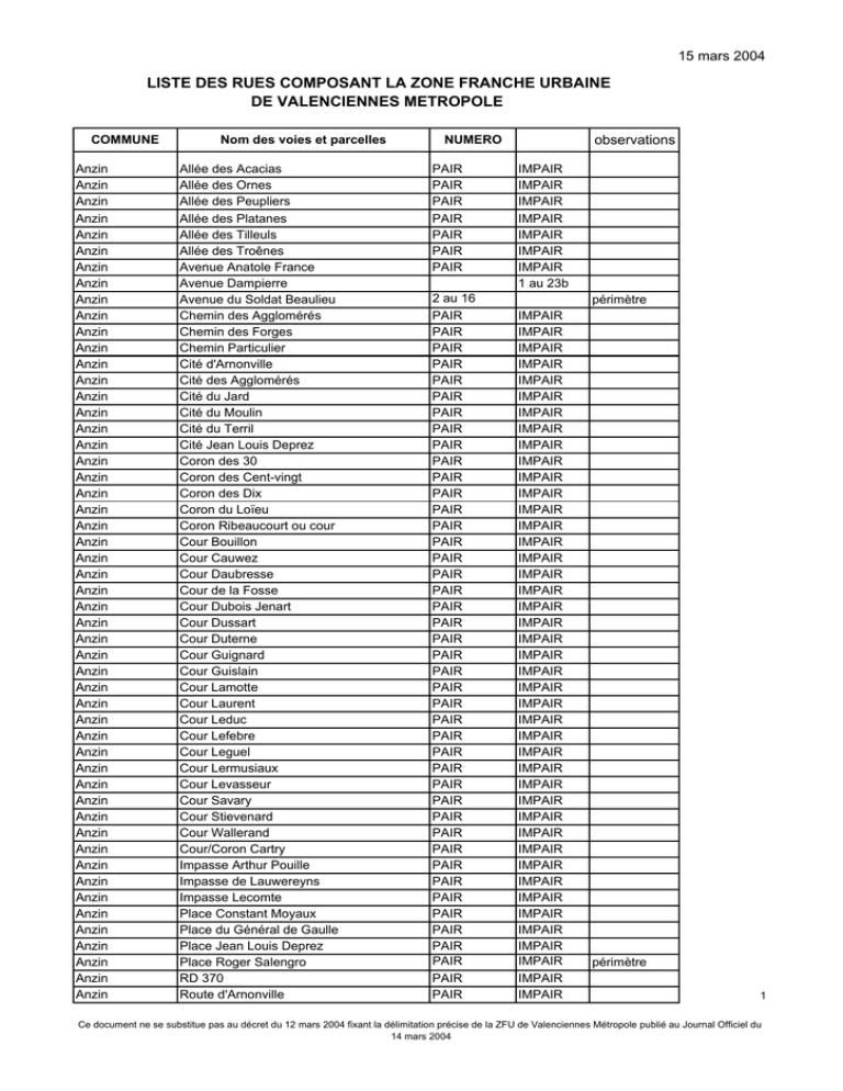
15 mars 2004
LISTE DES RUES COMPOSANT LA ZONE FRANCHE URBAINE
DE VALENCIENNES METROPOLE
COMMUNE
Anzin
Anzin
Anzin
Anzin
Anzin
Anzin
Anzin
Anzin
Anzin
Anzin
Anzin
Anzin
Anzin
Anzin
Anzin
Anzin
Anzin
Anzin
Anzin
Anzin
Anzin
Anzin
Anzin
Anzin
Anzin
Anzin
Anzin
Anzin
Anzin
Anzin
Anzin
Anzin
Anzin
Anzin
Anzin
Anzin
Anzin
Anzin
Anzin
Anzin
Anzin
Anzin
Anzin
Anzin
Anzin
Anzin
Anzin
Anzin
Anzin
Anzin
Anzin
Anzin
Nom des voies et parcelles
Allée des Acacias
Allée des Ornes
Allée des Peupliers
Allée des Platanes
Allée des Tilleuls
Allée des Troênes
Avenue Anatole France
Avenue Dampierre
Avenue du Soldat Beaulieu
Chemin des Agglomérés
Chemin des Forges
Chemin Particulier
Cité d'Arnonville
Cité des Agglomérés
Cité du Jard
Cité du Moulin
Cité du Terril
Cité Jean Louis Deprez
Coron des 30
Coron des Cent-vingt
Coron des Dix
Coron du Loïeu
Coron Ribeaucourt ou cour
Cour Bouillon
Cour Cauwez
Cour Daubresse
Cour de la Fosse
Cour Dubois Jenart
Cour Dussart
Cour Duterne
Cour Guignard
Cour Guislain
Cour Lamotte
Cour Laurent
Cour Leduc
Cour Lefebre
Cour Leguel
Cour Lermusiaux
Cour Levasseur
Cour Savary
Cour Stievenard
Cour Wallerand
Cour/Coron Cartry
Impasse Arthur Pouille
Impasse de Lauwereyns
Impasse Lecomte
Place Constant Moyaux
Place du Général de Gaulle
Place Jean Louis Deprez
Place Roger Salengro
RD 370
Route d'Arnonville
observations
NUMERO
PAIR
PAIR
PAIR
PAIR
PAIR
PAIR
PAIR
2 au 16
PAIR
PAIR
PAIR
PAIR
PAIR
PAIR
PAIR
PAIR
PAIR
PAIR
PAIR
PAIR
PAIR
PAIR
PAIR
PAIR
PAIR
PAIR
PAIR
PAIR
PAIR
PAIR
PAIR
PAIR
PAIR
PAIR
PAIR
PAIR
PAIR
PAIR
PAIR
PAIR
PAIR
PAIR
PAIR
PAIR
PAIR
PAIR
PAIR
PAIR
PAIR
PAIR
PAIR
IMPAIR
IMPAIR
IMPAIR
IMPAIR
IMPAIR
IMPAIR
IMPAIR
1 au 23b
périmètre
IMPAIR
IMPAIR
IMPAIR
IMPAIR
IMPAIR
IMPAIR
IMPAIR
IMPAIR
IMPAIR
IMPAIR
IMPAIR
IMPAIR
IMPAIR
IMPAIR
IMPAIR
IMPAIR
IMPAIR
IMPAIR
IMPAIR
IMPAIR
IMPAIR
IMPAIR
IMPAIR
IMPAIR
IMPAIR
IMPAIR
IMPAIR
IMPAIR
IMPAIR
IMPAIR
IMPAIR
IMPAIR
IMPAIR
IMPAIR
IMPAIR
IMPAIR
IMPAIR
IMPAIR
IMPAIR
IMPAIR
IMPAIR
IMPAIR
IMPAIR
périmètre
1
Ce document ne se substitue pas au décret du 12 mars 2004 fixant la délimitation précise de la ZFU de Valenciennes Métropole publié au Journal Officiel du
14 mars 2004
15 mars 2004
LISTE DES RUES COMPOSANT LA ZONE FRANCHE URBAINE
DE VALENCIENNES METROPOLE
COMMUNE
Anzin
Anzin
Anzin
Anzin
Anzin
Anzin
Anzin
Anzin
Anzin
Anzin
Anzin
Anzin
Anzin
Anzin
Anzin
Anzin
Anzin
Anzin
Anzin
Anzin
Anzin
Anzin
Anzin
Anzin
Anzin
Anzin
Anzin
Anzin
Anzin
Anzin
Anzin
Anzin
Anzin
Anzin
Anzin
Anzin
Anzin
Anzin
Anzin
Anzin
Anzin
Anzin
Anzin
Anzin
Anzin
Anzin
Anzin
Anzin
Anzin
Anzin
Anzin
Anzin
Anzin
Nom des voies et parcelles
Route de Saint Waast
Rue Adolphe Thiers
Rue Aimé Blaise
Rue Barillot
Rue Berthelot
Rue Chaudoir
Rue Corneille Theunissen
Rue d'Abancourt
Rue de Condé
Rue de la Corderie
Rue de la Liberté
Rue de la Marne
Rue de la Meuse
Rue de la Somme
Rue de l'Europe
Rue de l'Ourcq
Rue de l'Union
Rue de l'Yser
Rue de Roubaix
Rue Derrière les Haies
Rue des Anciens Combattants
Rue des Billettes
Rue des Canadiens
Rue des Déportés
Rue des Emailleries
Rue des Fusillés
Rue des Fusillés prolongée
Rue des Martyrs
Rue des Tuberies
Rue du Coron des Dix
Rue du Docteur Calmette
Rue du Docteur Vallée
Rue du Nord
Rue du Nord Prolongée
Rue du Père Pilate
Rue du Progrès
Rue Faidherbe
Rue Fosse de la Cave
Rue Francisco Ferrer
Rue François Clerf
Rue Gambetta
Rue Gustave Delory
Rue Gustave Thietard
Rue Henri Bardoux
Rue Jean Jaurès
Rue Jules Ferry
Rue Jules France
Rue Kléber
Rue Laveissière
Rue Lecaliez
Rue Lente
Rue Léopold Durand
Rue Lobert
NUMERO
observations
IMPAIR
IMPAIR
IMPAIR
IMPAIR
2 du 1 au 13
PAIR
IMPAIR
PAIR
IMPAIR
PAIR
IMPAIR
PAIR
IMPAIR
PAIR
IMPAIR
PAIR
IMPAIR
PAIR
IMPAIR
PAIR
IMPAIR
PAIR
IMPAIR
PAIR
IMPAIR
PAIR
IMPAIR
PAIR
IMPAIR
PAIR
IMPAIR
PAIR
IMPAIR
PAIR
IMPAIR
PAIR
IMPAIR
PAIR
IMPAIR
PAIR
IMPAIR
PAIR
IMPAIR
PAIR
IMPAIR
PAIR
IMPAIR
PAIR
IMPAIR
PAIR
IMPAIR
PAIR
IMPAIR
PAIR
IMPAIR
PAIR
IMPAIR
PAIR
IMPAIR
PAIR
IMPAIR
PAIR
IMPAIR
PAIR
IMPAIR
PAIR
IMPAIR
PAIR
IMPAIR
PAIR
IMPAIR
coté pair exclu
périmètre
PAIR
IMPAIR
PAIR
IMPAIR
périmètre
PAIR
IMPAIR
PAIR
IMPAIR
PAIR
IMPAIR
PAIR
IMPAIR
PAIR
IMPAIR
PAIR
IMPAIR
PAIR
IMPAIR
2 au 40
périmètre
PAIR
IMPAIR
PAIR
IMPAIR
PAIR
IMPAIR
PAIR
IMPAIR
PAIR
PAIR
PAIR
2
Ce document ne se substitue pas au décret du 12 mars 2004 fixant la délimitation précise de la ZFU de Valenciennes Métropole publié au Journal Officiel du
14 mars 2004
15 mars 2004
LISTE DES RUES COMPOSANT LA ZONE FRANCHE URBAINE
DE VALENCIENNES METROPOLE
COMMUNE
Nom des voies et parcelles
Anzin
Rue Louis Blanc
Anzin
Rue Louise Michel
Anzin
Rue Lucien Jonas
Anzin
Rue Malissart
Anzin
Rue Marceau
Anzin
Rue Marcel Sembat
Anzin
Rue Pasteur
Anzin
Rue Paul Bert
Anzin
Rue Pierre Fontaine
Anzin
Rue Pierre Mathieu
Anzin
Rue Roger Salengro
Anzin
Rue Victor Hugo
Anzin
Rue Voltaire
Anzin
Rue Waldeck Rousseau
anzin/valencienneRue d'Anzin
Beuvrages
Allée A rue C
Beuvrages
Avenue de la République
Beuvrages
Avenue Hector Rousseau
Beuvrages
Avenue Marguerite Leduc
Beuvrages
Impasse Cezanne
Beuvrages
Impasse Corot
Beuvrages
Impasse Manet
Beuvrages
Impasse Millet
Beuvrages
Place de la Paix
Beuvrages
Place du 11 Novembre
Beuvrages
Place Edgar Villain
Beuvrages
Place Hector Rousseau
Beuvrages
Résidence de Kranichfeld
Beuvrages
Rue Branly
Beuvrages
Beuvrages
Beuvrages
Beuvrages
Beuvrages
Beuvrages
Beuvrages
Beuvrages
Beuvrages
Beuvrages
Beuvrages
Beuvrages
Beuvrages
Beuvrages
Beuvrages
Beuvrages
Beuvrages
Beuvrages
Beuvrages
Beuvrages
Beuvrages
Beuvrages
Beuvrages
Rue C
Rue C Allée A
Rue Carpeaux
Rue Corneille
Rue Danielle Casanova
Rue de Genève
Rue de la Fraternité
Rue de la Liberté
Rue de la sociale
Rue de Moscou
Rue de New-York
Rue de Paris
Rue de Québec
Rue de Rotterdam
Rue de Stockhlom
Rue de Varsovie
Rue de Weimar
Rue Delacroix
Rue des Frères Dussart
Rue des Poilus
Rue du 8 Mai 45
Rue du Docteur Carlier
Rue Emile Zola
observations
NUMERO
PAIR
PAIR
PAIR
PAIR
PAIR
PAIR
PAIR
PAIR
PAIR
PAIR
PAIR
PAIR
PAIR
PAIR
PAIR
PAIR
PAIR
PAIR
PAIR
PAIR
PAIR
PAIR
PAIR
PAIR
exclu du 2 au
48
PAIR
PAIR
PAIR
PAIR
PAIR
PAIR
PAIR
PAIR
PAIR
PAIR
PAIR
PAIR
PAIR
PAIR
PAIR
PAIR
2 au 48
PAIR
2-12
1 au 21
IMPAIR
IMPAIR
IMPAIR
IMPAIR
IMPAIR
IMPAIR
IMPAIR
IMPAIR
IMPAIR
IMPAIR
IMPAIR
IMPAIR
IMPAIR
IMPAIR
IMPAIR
IMPAIR
IMPAIR
IMPAIR
IMPAIR
IMPAIR
IMPAIR
IMPAIR
périmètre
périmètre
IMPAIR
IMPAIR
IMPAIR
IMPAIR
IMPAIR
IMPAIR
IMPAIR
IMPAIR
IMPAIR
IMPAIR
IMPAIR
IMPAIR
IMPAIR
IMPAIR
IMPAIR
IMPAIR
IMPAIR
IMPAIR
IMPAIR
IMPAIR
IMPAIR
IMPAIR
IMPAIR
1 au 47
IMPAIR
IMPAIR
périmètre
périmètre
périmètre
périmètre
3
Ce document ne se substitue pas au décret du 12 mars 2004 fixant la délimitation précise de la ZFU de Valenciennes Métropole publié au Journal Officiel du
14 mars 2004
15 mars 2004
LISTE DES RUES COMPOSANT LA ZONE FRANCHE URBAINE
DE VALENCIENNES METROPOLE
COMMUNE
Beuvrages
Beuvrages
Beuvrages
Beuvrages
Beuvrages
Beuvrages
Beuvrages
Beuvrages
Beuvrages
Beuvrages
Beuvrages
Beuvrages
Beuvrages
Beuvrages
Beuvrages
Beuvrages
Beuvrages
Beuvrages
Beuvrages
Beuvrages
Beuvrages
Bruay
Bruay
Bruay
Bruay
Bruay
Bruay
Bruay
Bruay
Bruay
Bruay/anzin
Raismes
Raismes
Valenciennes
Valenciennes
Valenciennes
Valenciennes
Valenciennes
Valenciennes
Valenciennes
Valenciennes
Valenciennes
Valenciennes
Valenciennes
Valenciennes
Valenciennes
Valenciennes
Valenciennes
Valenciennes
Valenciennes
Valenciennes
Valenciennes
Valenciennes
Nom des voies et parcelles
Rue François Gressier
Rue Gabriel Péri
Rue Georges Mortuaire
Rue Gustave Delory
Rue Gustave Michel
Rue Henri Durre
Rue Jean Jaurès
Rue Jolio Curie
Rue Jonas
Rue la Fontaine
Rue Léonard de Vinci
Rue Michel Ange
Rue Molière
Rue Montaigne
Rue Pasteur
Rue Paul Langevin
Rue Racine
Rue Raphaël
Rue Renoir
Rue Watteau
Square Carpeaux
Cité de la Perche
Rue Berthelot
Rue d'Arnonville
Rue des Déportés
Rue des Francs Tireurs
Rue des Merlicans
Rue Jean Jaurès
Rue Gambetta
Ruelle Jean Mace
Impasse d'Arnonville
Rue Henri Durre
Rue Laveissière
Allée de la Métaierie
Allée René Leleu
Avenue Dampierre
Avenue de Condé
Avenue de Croy
Avenue de Denain
Avenue de Dunkerque
Avenue de la Plaine
Avenue de Saint Amand
Avenue Désandrouins
Avenue Maréchal Juin
Boulevard des Bruyères
Boulevard Léopold Defays
Chemin des Alliés
Chemin du Halage
Chemin du Noir Mouton
Clos des Bleuets
Clos Emile Lebacqz
Coron Parmentier
Cour Fourmeux
observations
NUMERO
PAIR
PAIR
PAIR
PAIR
PAIR
PAIR
PAIR
PAIR
PAIR
PAIR
PAIR
PAIR
PAIR
PAIR
PAIR
PAIR
PAIR
PAIR
PAIR
PAIR
PAIR
69 au 169
PAIR
PAIR
PAIR
PAIR
4 au 100
2 au 27
PAIR
PAIR
412 au 470
PAIR
PAIR
PAIR
2 au 22
PAIR
PAIR
188 au 198
IMPAIR
IMPAIR
IMPAIR
IMPAIR
80 au 116
IMPAIR
IMPAIR
IMPAIR
IMPAIR
IMPAIR
IMPAIR
IMPAIR
IMPAIR
IMPAIR
IMPAIR
IMPAIR
IMPAIR
IMPAIR
IMPAIR
IMPAIR
IMPAIR
IMPAIR
130-134
IMPAIR
IMPAIR
IMPAIR
IMPAIR
1 au 131
IMPAIR
IMPAIR
périmètre
périmètre
périmètre
périmètre
périmètre
périmètre
IMPAIR
IMPAIR
périmètre
IMPAIR
périmètre
périmètre
périmètre
PAIR
PAIR
132 au 228
IMPAIR
IMPAIR
87 au 195
PAIR
PAIR
IMPAIR
IMPAIR
21 au 27
IMPAIR
IMPAIR
IMPAIR
IMPAIR
IMPAIR
IMPAIR
PAIR
PAIR
PAIR
PAIR
PAIR
PAIR
périmètre
périmètre
périmètre
périmètre
4
Ce document ne se substitue pas au décret du 12 mars 2004 fixant la délimitation précise de la ZFU de Valenciennes Métropole publié au Journal Officiel du
14 mars 2004
15 mars 2004
LISTE DES RUES COMPOSANT LA ZONE FRANCHE URBAINE
DE VALENCIENNES METROPOLE
COMMUNE
Valenciennes
Valenciennes
Valenciennes
Valenciennes
Valenciennes
Valenciennes
Valenciennes
Valenciennes
Valenciennes
Valenciennes
Valenciennes
Valenciennes
Nom des voies et parcelles
Cour Lafleur
Cour Servais
Croix d’Anzin
Enclos de la Prairie
Enclos des Lys
Enclos les Genêts
Impasse Dayez
Impasse des Porions
Impasse Lomprez
Impasse Miroux
Petit Coron Miroux
Place d’Algérie
Place de l’Église
Valenciennes
Valenciennes
Valenciennes
Valenciennes
Valenciennes
Valenciennes
Valenciennes
Valenciennes
Valenciennes
Valenciennes
Valenciennes
Valenciennes
Valenciennes
Valenciennes
Valenciennes
Valenciennes
Valenciennes
Valenciennes
Valenciennes
Valenciennes
Valenciennes
Valenciennes
Valenciennes
Valenciennes
Valenciennes
Valenciennes
Valenciennes
Valenciennes
Valenciennes
Valenciennes
Valenciennes
Valenciennes
Valenciennes
Place des Charbonniers
Place des Frères Janson
Place des Glaneurs
Place Henri Durre
Place Nicolas Lecreux
Place Pierre Taffin
Quai des Mines
Rue Adrien Montigny
Rue Albert Calmette
Rue André Jurénil
Rue Benezech
Rue Casimir Perrier
Rue Chanteclerc
Rue Charles Lamininary
Rue d'Anzin
Rue d'Aubry
Rue de Cernay
Rue de la Fosse Dutemple
Rue de la Piperie
Rue de la Roseraie
Rue de la Villette
Rue de Madagascar
Rue de Petite Forêt
Rue de Tinchon
Rue de Tunisie
Rue de Vauquois
Rue des Coquelicots
Rue des Dahlias
Rue des Douanes
Rue des Epargnes
Rue des Fougères
Rue des Galibots
Valenciennes
Valenciennes
Valenciennes
Valenciennes
Valenciennes
Valenciennes
Valenciennes
Rue des Merlicans
Rue des Œillets
Rue Desaubois
Rue du Chauffor
Rue du Chevalet
Rue du Domaine
Rue du Général Chéré
observations
NUMERO
PAIR
PAIR
PAIR
PAIR
PAIR
PAIR
PAIR
PAIR
PAIR
PAIR
PAIR
côté rue de
cernay
PAIR
PAIR
PAIR
PAIR
PAIR
PAIR
PAIR
PAIR
PAIR
PAIR
PAIR
PAIR
10,12,14,16
PAIR
IMPAIR
IMPAIR
IMPAIR
IMPAIR
IMPAIR
IMPAIR
IMPAIR
IMPAIR
IMPAIR
IMPAIR
IMPAIR
IMPAIR
périmètre
périmètre
périmètre
périmètre
PAIR
PAIR
PAIR
PAIR
PAIR
PAIR
PAIR
PAIR
PAIR
PAIR
PAIR
PAIR
PAIR
PAIR
IMPAIR
IMPAIR
IMPAIR
IMPAIR
IMPAIR
IMPAIR
IMPAIR
PAIR
périmètre
périmètre
IMPAIR
IMPAIR
IMPAIR
IMPAIR
IMPAIR
IMPAIR
IMPAIR
IMPAIR
IMPAIR
IMPAIR
IMPAIR
IMPAIR
IMPAIR
IMPAIR
IMPAIR
IMPAIR
IMPAIR
IMPAIR
IMPAIR
IMPAIR
IMPAIR
IMPAIR
IMPAIR
IMPAIR
IMPAIR
IMPAIR
IMPAIR
IMPAIR
IMPAIR
IMPAIR
PAIR
PAIR
PAIR
PAIR
PAIR
périmètre
périmètre
périmètre
périmètre
périmètre
5
Ce document ne se substitue pas au décret du 12 mars 2004 fixant la délimitation précise de la ZFU de Valenciennes Métropole publié au Journal Officiel du
14 mars 2004
15 mars 2004
LISTE DES RUES COMPOSANT LA ZONE FRANCHE URBAINE
DE VALENCIENNES METROPOLE
COMMUNE
Nom des voies et parcelles
Valenciennes
Rue du Maroc
Valenciennes
Rue du Muguet
Valenciennes
Rue du Puits
Valenciennes
Rue du Terril
Valenciennes
Rue du Torrent
Valenciennes
Rue du Torrent
Valenciennes
Rue du Verger
Valenciennes
Rue Duponchel
Valenciennes
Rue Emile Alglave
Valenciennes
Rue Fourmeux
Valenciennes
Rue Françoise Badar
Valenciennes
Rue Gambetta
Valenciennes
Rue Georges Thurotte
Valenciennes
Rue Gérard de Perfontaine
Rue Grégoire-Nicolas Finez
Valenciennes
Valenciennes
Rue Hector Berlioz
Valenciennes
Rue Hubert Cailleau
Valenciennes
Rue Jean Baptiste Corot
Valenciennes
Rue Josquin Deprez
Valenciennes
Rue Jules Delsart
Valenciennes
Rue Jules Mousseron
Rue Léon Dubled
Valenciennes
Valenciennes
Rue Lomprez
Valenciennes
Rue Lucien Brasseur
Valenciennes
Rue Lucien Jonas
Valenciennes
Rue Paquet
Valenciennes
Rue Péclet
Valenciennes
Rue Pierre Fontaine
Valenciennes
Rue Pierre Warin
Valenciennes
Rue Pottiez Jan
Valenciennes
Rue Rosalie Levasseur
Valenciennes
Rue Saint Barbe
Valenciennes
Rue Saint Eloi
valenciennes/la seRue Valentin Conrart
observations
NUMERO
PAIR
PAIR
PAIR
PAIR
PAIR
PAIR
PAIR
PAIR
PAIR
PAIR
PAIR
PAIR
PAIR
PAIR
PAIR
PAIR
PAIR
PAIR
PAIR
PAIR
PAIR
145 au 167
PAIR
PAIR
PAIR
PAIR
PAIR
PAIR
PAIR
PAIR
PAIR
PAIR
PAIR
IMPAIR
IMPAIR
IMPAIR
IMPAIR
IMPAIR
IMPAIR
IMPAIR
IMPAIR
IMPAIR
IMPAIR
IMPAIR
IMPAIR
IMPAIR
IMPAIR
1 au 37
IMPAIR
IMPAIR
IMPAIR
IMPAIR
IMPAIR
IMPAIR
périmètre
périmètre
124 au 250
IMPAIR
IMPAIR
IMPAIR
IMPAIR
IMPAIR
IMPAIR
IMPAIR
IMPAIR
IMPAIR
IMPAIR
périmètre
6
Ce document ne se substitue pas au décret du 12 mars 2004 fixant la délimitation précise de la ZFU de Valenciennes Métropole publié au Journal Officiel du
14 mars 2004