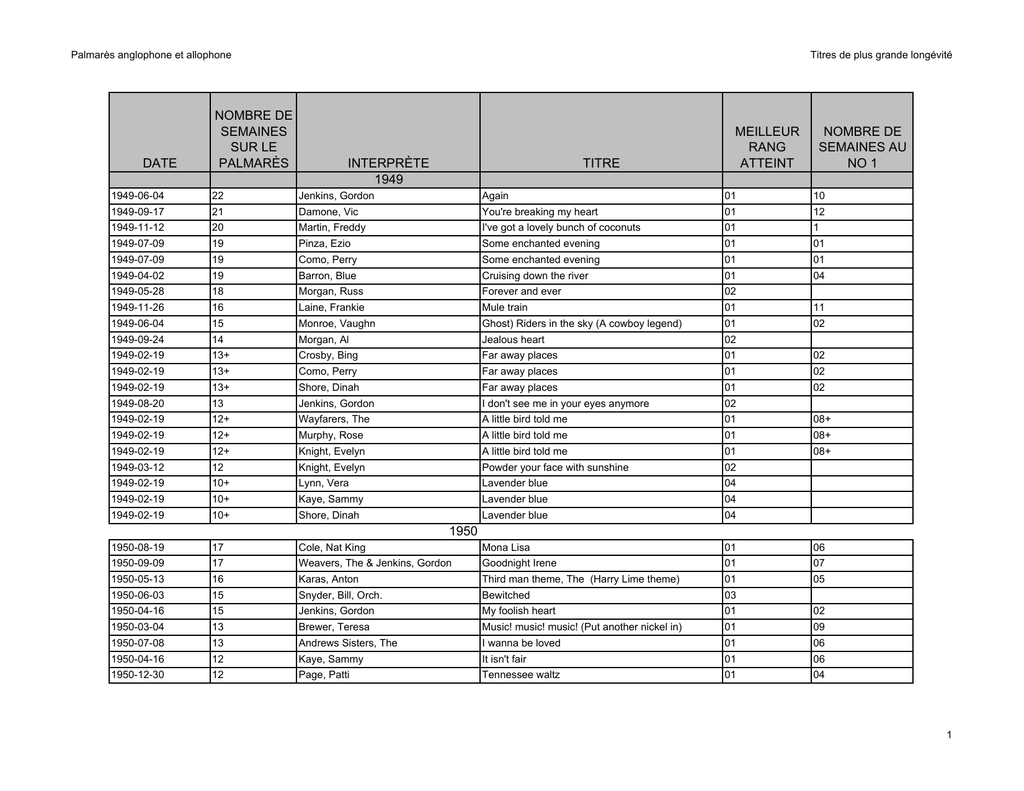
date nombre de semaines sur le palmarès interprète titre

Transcription

date nombre de semaines sur le palmarès interprète titre
Palmarès anglophone et allophone
DATE
NOMBRE DE
SEMAINES
SUR LE
PALMARÈS
Titres de plus grande longévité
INTERPRÈTE
1949
TITRE
MEILLEUR
RANG
ATTEINT
NOMBRE DE
SEMAINES AU
NO 1
1949-06-04
22
Jenkins, Gordon
Again
01
10
1949-09-17
21
Damone, Vic
You're breaking my heart
01
12
1949-11-12
20
Martin, Freddy
I've got a lovely bunch of coconuts
01
1
1949-07-09
19
Pinza, Ezio
Some enchanted evening
01
01
1949-07-09
19
Como, Perry
Some enchanted evening
01
01
1949-04-02
19
Barron, Blue
Cruising down the river
01
04
1949-05-28
18
Morgan, Russ
Forever and ever
02
1949-11-26
16
Laine, Frankie
Mule train
01
11
1949-06-04
15
Monroe, Vaughn
Ghost) Riders in the sky (A cowboy legend)
01
02
02
1949-09-24
14
Morgan, Al
Jealous heart
1949-02-19
13+
Crosby, Bing
Far away places
01
02
1949-02-19
13+
Como, Perry
Far away places
01
02
1949-02-19
13+
Shore, Dinah
Far away places
01
02
1949-08-20
13
Jenkins, Gordon
I don't see me in your eyes anymore
02
1949-02-19
12+
Wayfarers, The
A little bird told me
01
08+
1949-02-19
12+
Murphy, Rose
A little bird told me
01
08+
1949-02-19
12+
Knight, Evelyn
A little bird told me
01
08+
1949-03-12
12
Knight, Evelyn
Powder your face with sunshine
02
1949-02-19
10+
Lynn, Vera
Lavender blue
04
1949-02-19
10+
Kaye, Sammy
Lavender blue
04
1949-02-19
10+
Shore, Dinah
Lavender blue
04
1950-08-19
17
Cole, Nat King
Mona Lisa
01
06
1950-09-09
17
Weavers, The & Jenkins, Gordon
Goodnight Irene
01
07
1950-05-13
16
Karas, Anton
Third man theme, The (Harry Lime theme)
01
05
1950-06-03
15
Snyder, Bill, Orch.
Bewitched
03
1950-04-16
15
Jenkins, Gordon
My foolish heart
01
1950
02
1950-03-04
13
Brewer, Teresa
Music! music! music! (Put another nickel in)
01
09
1950-07-08
13
Andrews Sisters, The
I wanna be loved
01
06
1950-04-16
12
Kaye, Sammy
It isn't fair
01
06
1950-12-30
12
Page, Patti
Tennessee waltz
01
04
1
Palmarès anglophone et allophone
DATE
Titres de plus grande longévité
NOMBRE DE
SEMAINES
SUR LE
PALMARÈS
INTERPRÈTE
TITRE
MEILLEUR
RANG
ATTEINT
1950-06-10
12
Ames Brothers, The
Sentimental me
01
1950-03-18
11
Foley, Ed
Chattanoogie shoe shine boy
02
1950-09-09
11
Crosby, Bing & Crosby, Gary
Sam's song
03
1950-11-25
11
Kaye, Sammy
Harbor lights
01
1950-09-16
10
Crosby, Bing & Crosby, Gary
Play a simple melody
03
1950-12-16
09
Harris, Phil
Thing, The
01
1950-12-02
09
Weston, Paul
Nevertheless (I'm in love with you)
02
1950-11-18
09
Ames Brothers, The
Can anyone explain? (No no no!)
01
1950-03-18
09
Ames Brothers, The
Rag mop
03
1950-01-21
09
Clark, Buddy
A dreamer's holiday
02
NOMBRE DE
SEMAINES AU
NO 1
03
03
04
02
1951
1951-09-01
25
Bennett, Tony
Because of you
01
12+
1951-06-09
18
Cole, Nat King
Too young
01
05
1951-07-07
15
Lanza, Mario
Loveliest night of the year, The
01
04
1951-06-02
13
Paul, Les & Ford, Mary
How high the moon
01
02
1951-02-17
12
Como, Perry
If
01
08
1951-06-02
12
Weavers, The & Jenkins, Gordon
On top of old Smokey
01
03
1951-09-29
11+
I get ideas
02
1951-03-31
11
Martin, Tony
Reynolds, Debbie & Carpenter,
Carleton
Aba daba honeymoon
01
06
1951-02-24
09
Lanza, Mario
Be my love
01
02
1951-01-27
09
Mitchell, Guy
My heart cries for you
02
1951-11-03
08+
Howard, Eddie
It's no) Sin
02
1951-07-28
08
Clooney, Rosemary
Come on-a my house
01
1951-10-20
07+
Williams, Hank
Cold, cold heart
02+
1951-07-21
06
Mitchell, Guy
My truly, truly fair
02
1951-04-28
06
Paul, Les & Ford, Mary
Mockin' bird hill
02
1951-07-21
05
Laine, Frankie
Jezebel
03
1951-06-16
03
Monroe, Vaughn
Sound off
01
1951-04-28
02
Clooney, Rosemary
Beautiful brown eyes
06
1951-04-28
02
Page, Patti
Would I love you (love you, love you)?
02
Tell me why
01
01
01
1952
1952-03-01
14+
Four Aces, The
06
2
Palmarès anglophone et allophone
DATE
Titres de plus grande longévité
NOMBRE DE
SEMAINES
SUR LE
PALMARÈS
INTERPRÈTE
MEILLEUR
RANG
ATTEINT
TITRE
NOMBRE DE
SEMAINES AU
NO 1
1952-03-15
11+
Fisher, Eddie
Any time
01
01+
1952-03-15
11
Edwards, Tommy
Please Mr. Sun
01
04
04
1952-03-15
11
Ray, Johnnie
Please Mr. Sun
01
1952-01-26
10+
King, Pee Wee
Slow poke
01
04+
1952-02-16
9
Ray, Johnnie
Little white cloud, The
1
03
1952-04-12
07
Starr, Kay
Wheel of fortune
01
02
01
1952-02-02
05
Ray, Johnnie
Cry
01
1952-01-26
04+
Laine, Frankie
Jalousie
02+
1952-05-10
04+
Day, Doris
A guy is a guy
03+
1952-02-09
04
Mantovani
Charmaine
03
1952-01-26
02+
Ames Brothers, The
Undecided
02+
1952-02-09
02
Stafford, Jo
Shrimp boats
06
1952-02-09
01
Wood, Del
Down yonder
07
1956-10-13
20
Presley, Elvis
Love me tender
01
1956-10-27
19
Crosby, Bing & Kelly, Grace
True love
04
1956-10-13
18
Lowe, Jim
Green door
02
1956-10-06
18
Ray, Johnnie
Just walking in the rain
03
palmarès manquants
1956
07
1956-11-17
18
Mitchell, Guy
Singing the blues
01
08
1956-06-02
17
Grant, Gogi
Wayward wind, The
01
06
1956-06-02
17
Ritter, Tex
Wayward wind, The
01
06
1956-09-01
17
Presley, Elvis
Don't be cruel
01
06
1956-07-14
16
Page, Patti
Alleghany moon
03
1956-07-28
16
Day, Doris
Que sera, sera (Whatever will be, will be)
02
1956-05-12
15
McGuire Sisters, The
Picnic
01
05
1956-05-12
15
Cates, George
Moonglow and theme from Picnic
01
06
04
1956-11-10
15
Domino, Fats
Blueberry Hill
1956-05-12
15
Stoloff, Morris
Moonglow and theme from Picnic
01
1956-09-15
15
Doggett, Bill
Honky tonk
07
1956-08-25
14
Winterhalter, Hugo & Heywood, Eddie Canadian sunset
06
02
3
Palmarès anglophone et allophone
DATE
Titres de plus grande longévité
NOMBRE DE
SEMAINES
SUR LE
PALMARÈS
INTERPRÈTE
TITRE
MEILLEUR
RANG
ATTEINT
1956-08-04
14
Platters, The
My prayer
01
1956-05-12
13
Storm, Gale
Ivory tower
02
02
NOMBRE DE
SEMAINES AU
NO 1
05
1956-05-12
13
Carr, Cathy
Ivory tower
1956-06-30
12
Boone, Pat
I almost lost my mind
02
1956-09-01
12
Patience & Prudence
Tonight you belong to me
03
1956-08-18
12
Presley, Elvis
Hound dog
02
1957-04-13
14
Presley, Elvis
All shook up
01
1957-01-05
14
Fontane Sisters, The
Banana boat song (Day-o)
02
1957-01-05
14
Vaughan, Sarah
Banana boat song (Day-o)
02
1957-01-19
15
James, Sonny
Young love
01
07
1957-11-23
16
Boone, Pat
April love
01
02
1957-07-20
16
Mantovani
Around the world
03
1957-07-20
16
Morgan, Jane
Around the world
03
1957-07-20
16
Young, Victor
Around the world
03
1957-10-19
16
Presley, Elvis
Jailhouse rock
01
06
1957-05-18
16
Boone, Pat
Love letters in the sand
01
10
1957-05-25
16
Dorsey, Jimmy, Orch. & Ch.
So rare
02
1957-09-07
17
Carroll, David
Fascination
04
1957-09-07
17
Jacobs, Dick
Fascination
04
1957-09-07
17
Morgan, Jane
Fascination
04
1957-09-07
17
Shore, Dinah
Fascination
04
1957-09-07
17
Smith, Ethel
Fascination
04
1957-03-16
17
Como, Perry
Round and round
01
1957-08-03
19
Ames Brothers, The
Tammy
01
10
1957-08-03
19
Reynolds, Debbie
Tammy
01
09
1958-01-18
17
McGuire Sisters, The
Sugartime
01
03
03
1957
06
02
1958
1958-01-18
17
Phillips, Charlie
Sugartime
01
1958-07-12
15
Craft, Morty
Patricia
01
03
1958-07-12
15
Prado, Perez
Patricia
01
03
1958-03-29
14
London, Laurie
He's got the whole world in his hands
01
02
4
Palmarès anglophone et allophone
DATE
NOMBRE DE
SEMAINES
SUR LE
PALMARÈS
Titres de plus grande longévité
INTERPRÈTE
TITRE
MEILLEUR
RANG
ATTEINT
NOMBRE DE
SEMAINES AU
NO 1
1958-09-13
14
Edwards, Tommy
It's all in the game
01
06
1958-10-25
14
Kingston Trio, The
Tom Dooley
01
05
1958-03-29
14
McNair, Barbara
He's got the whole world in his hands
01
02
1958-03-29
14
March, Joe
He's got the whole world in his hands
01
02
1958-02-08
14
Como, Perry
Catch a falling star
01
01
1958-12-13
14
Platters, The
Smoke gets in your eyes
01
04
1958-04-26
14
Martin, Dean
Return to me
03
1958-04-26
14
Freeman, Ernie
Return to me
03
1958-04-26
14
Lombardo, Guy
Return to me
03
1958-11-08
13
Teddy Bears, The
To know him is to love him
01
01
1958-05-03
13
Everly Brothers, The
All I have to do is dream
01
04
1958-04-19
13
Platters, The
Twilight time
02
1958-02-01
13
Vaughn, Billy
Sail along silvery moon
03
1958-08-09
13
Elegants, The
Little star
02
1958-08-16
13
Martin, Dean
Volare (Nel blu dipinto di blu)
01
07
1958-08-16
13
Modugno, Domenico
Volare (Nel blu dipinto di blu)
01
07
1959-09-19
20
Fitzgerald, Ella
Mack the knife
01
12
1959-11-28
17
Robbins, Marty
Paso, El
01
01
1959-05-23
16
Horton, Johnny
Battle of New Orleans, The
01
10
1959-10-03
16
Fleetwoods, The
Mr. blue
02
1959-05-23
16
Homer & Jethro
Battle of Kookamonga, The
01
10
1959-08-08
15
Browns, The
Three bells, The
01
06
1959-06-13
14
Dobkins, Carl, Jr
My heart is an open book
02
1959
1959-09-26
14
Anka, Paul
Put your head on my shoulder
02
1959-06-13
13
Anka, Paul
Lonely boy
01
1959-08-22
13
Santo & Johnny
Sleep walk
02
1959-11-28
13
Avalon, Frankie
Why?
01
1959-10-10
13
Reese, Della
Don't you know
03
1959-05-30
12
Price, Lloyd
Personality
02
1959-05-23
12
Darin, Bobby
Dream lover
03
1959-11-28
12
Cannon, Freddy
Way down yonder in New Orleans
04
01
05
5
Palmarès anglophone et allophone
DATE
Titres de plus grande longévité
NOMBRE DE
SEMAINES
SUR LE
PALMARÈS
INTERPRÈTE
TITRE
MEILLEUR
RANG
ATTEINT
1959-11-28
12
Fisher, Toni
Big hurt, The
04
1959-09-26
12
Nelson, Sandy
Teen beat
04
1959-10-03
12
Williams, Andy
Lonely street
05
NOMBRE DE
SEMAINES AU
NO 1
1960
1960-12-17
20
Four Preps, The
Calcutta
01
07
1960-12-17
20
Müller, Werner
Calcutta
01
07
1960-12-17
20
Torriani, Vico
Calcutta
01
07
1960-12-17
20
Welk, Lawrence
Calcutta
01
07
1960-12-17
17
Ferrante & Teicher
Exodus
02
1960-12-17
17
Mantovani
Exodus
02
1960-12-17
17
Medallion Strings, The
Exodus
02
1960-12-17
17
Boone, Pat
Exodus song, The (This land is mine)
02
1960-04-09
16
Presley, Elvis
Stuck on you
01
05
1960-11-26
15
Presley, Elvis
Are you lonesome tonight?
01
02
1960-02-13
15
Reeves, Jim
He'll have to go
02
1960-08-06
15
Presley, Elvis
It's now or never
01
01
1960-11-19
15
Cramer, Floyd
Last date
01
04
1960-11-19
15
Welk, Lawrence
Last date
01
04
1960-11-19
15
Davis, Skeeter
My last date (with you)
01
04
1960-01-16
15
Dinning, Mark
Teen angel
01
03
1960-02-13
15
Faith, Percy
Theme from A summer place
01
07
1960-01-30
14
Jones, Jimmy
Handy man
03
1960-01-02
14
Preston, Johnny
Running bear
01
04
1960-12-10
14
Bryant, Anita
Wonderland by night
01
06
1960-12-10
14
Kaempfert, Bert
Wonderland by night
01
06
1960-12-10
14
Prima, Louis
Wonderland by night
01
06
1961-03-04
12
Shirelles, The
Dedicated to the one I love
03
1961-08-26
12
Vee, Bobby
Take good care of my baby
02
1961-12-02
12
Van Dyke, Leroy
Walk on by
05
1961-02-11
12
Francis, Connie
Where the boys are
05
1961-02-11
13
Martin, Tony
Don't worry
07
1961
6
Palmarès anglophone et allophone
DATE
NOMBRE DE
SEMAINES
SUR LE
PALMARÈS
Titres de plus grande longévité
INTERPRÈTE
TITRE
MEILLEUR
RANG
ATTEINT
NOMBRE DE
SEMAINES AU
NO 1
1961-02-11
13
Robbins, Marty
Don't worry
1961-11-25
13
Butler, Jerry
Moon river
07
02
1961-11-25
13
Mancini, Henry
Moon river
02
1961-02-11
13
Checker, Chubby
Pony time
02
1961-02-11
13
Duncan, Johnny
Wheels
02
1961-02-11
13
String-a-Longs, The
Wheels
02
1961-02-11
13
Vaughn, Billy
Wheels
02
1961-12-23
13
Lettermen, The
When I fall in love
04
1961-03-04
14
Ingmann, Jorgen
Apache
01
1961-03-04
14
James, Sonny
Apache
01
01
1961-10-07
14
Dean, Jimmy
Big bad John
01
04
1961-11-18
14
Marvelettes, The
Please Mr. Postman
01
03
1961-12-23
14+
Dee, Joey & Starliters, The
Peppermint twist
02
1961-02-11
15
Presley, Elvis
Surrender
01
1961-12-09
16+
Checker, Chubby
Twist, The
02
1961-06-17
17
Lewis, Bobby
Tossin' and turnin'
01
10
1962-10-13
17
Presley, Elvis
Return to sender
01
03
1962-10-13
17
Four Seasons, The
Big girls don't cry
01
04
1962-08-18
17
Cole, Nat King
Ramblin' rose
01
07
1962-05-26
15
Charles, Ray
I can't stop loving you
01
04
1962-06-23
15
Vinton, Bobby
Roses are red (my love)
01
04
1962-09-08
13
Fabric, Bent
Alley cat
07
1962-10-13
13
Lee, Brenda
All alone am I
01
1962-10-13
13
Pitney, Gene
Only love can break a heart
03
1962-09-15
13
Peterson, Hank
I remember you
04
1962-09-15
13
Ifield, Frank
I remember you
04
1962-05-19
12+
DiMucci, Dion
Lovers who wander
09
01
03
1962
02
1962-05-19
12+
Williams, Andy
Stranger on the shore
01
03
1962-05-19
12+
Drifters, The
Stranger on the shore
01
03
1962-05-19
12+
Bilk, Acker, Mr.
Stranger on the shore
01
03
1962-01-06
12+
Presley, Elvis
Can't help falling in love
01
03
7
Palmarès anglophone et allophone
DATE
NOMBRE DE
SEMAINES
SUR LE
PALMARÈS
Titres de plus grande longévité
INTERPRÈTE
TITRE
MEILLEUR
RANG
ATTEINT
NOMBRE DE
SEMAINES AU
NO 1
1962-06-16
12
Rose, David
Stripper, The
01
03
1962-12-08
12
Lawrence, Steve
Go away little girl
01
03
1963
1963-03-16
17
Clooney, Rosemary
I will follow you
01
03
1963-03-16
17
Clark, Petula
I will follow him (Chariot)
01
03
1963-03-16
17
Pourcel, Franck
I will follow him (Chariot)
01
03
1963-03-16
17
Gibbs, Georgia
I will follow him
01
03
1963-03-16
17
March, Little Peggy
I will follow him
01
03
1963-12-21
16
Trashmen, The
Surfin' bird
03
1963-11-23
15
Revere, Paul & Raiders, The
Louie Louie
03
1963-11-23
15
Kingsmen, The
Louie Louie
03
1963-11-23
15
Vinton, Bobby
There I've said it again
01
04
1963-01-19
14
Cascades, The
Rhythm of the rain
01
04
1963-10-05
14
Gore, Lesley
She's a fool
09
1963-09-14
13
Davis, Skeeter
I can't stay mad at you
03
1963-08-17
13
Vinton, Bobby
Blue velvet
01
1963-09-14
13
Fireballs, The & Gilmer, Jimmy
Sugar shack
03
1963-10-12
13
Tillotson, Johnny
Talk back trembling lips
06
1963-10-12
13
Indios Tabajaras, Los
Maria Elena
02
1963-09-14
13
Cole, Nat King
That Sunday, that summer
07
1963-09-14
13
Cole, Nat King
Mr. Wishing well
07
1963-03-16
13
Williams, Andy
Can't get used to losing you
01
1963-01-19
12
Darin, Bobby
You're the reason I'm living
05
1963-04-20
12
Christie, Lou
Two faces have I
03
1963-06-15
12
Essex, The
Easier said than done
04
03
07
1964
1964-02-15
24
King, Pete, Chorale
Hello, Dolly!
01
01
1964-02-15
24
Armstrong, Louis
Hello, Dolly!
01
01
01
1964-02-15
24
Riddle, Nelson
Hello, Dolly!
01
1964-02-15
24
Welk, Lawrence
Hello, Dolly!
01
01
1964-02-15
24
Harper, Janice
Hello, Dolly!
01
01
1964-02-15
24
Charles, Ray, Singers
Hello, Dolly!
01
01
8
Palmarès anglophone et allophone
DATE
Titres de plus grande longévité
NOMBRE DE
SEMAINES
SUR LE
PALMARÈS
INTERPRÈTE
TITRE
MEILLEUR
RANG
ATTEINT
NOMBRE DE
SEMAINES AU
NO 1
1964-01-18
22
Beatles, The
I want to hold your hand
01
03
1964-02-15
21
Beatles, The
She loves you
01
06
1964-02-15
20
Dave Clark Five
Glad all over
02
1964-08-22
19
Orbison, Roy
Oh, pretty woman
01
05
1964-12-12
18
Clark, Petula
Downtown
01
06
1964-01-18
18
Hirt, Al
Java
02
1964-11-07
17
Vinton, Bobby
Mr. Lonely
01
1964-06-20
16
Berry, Chuck
Memphis
01
03
03
1964-07-18
16
Martin, Dean
Everybody loves somebody
01
01
1964-04-11
16
Wells, Mary
My guy
02
1964-06-20
16
Rivers, Johnny
Memphis
01
1964-11-21
15
Supremes, The
Come see about me
02
1964-07-25
15
Beatles, The
A hard day's night
01
1964-08-22
15
Newbeats, The
Bread and butter
02
1964-02-15
15
Beatles, The
Please please me
02
1964-08-22
15
Reeves, Martha & Vandellas, The
Dancing in the street
03
1964-02-15
15
Presley, Elvis
Kissin' cousins
05
1964-06-20
15
Beach Boys, The
I get around
02
03
02
1965
1965-06-19
19
Rolling Stones, The
I can't get no) Satisfaction
01
1965-10-09
18
Alpert, Herb & Tijuana Brass, The
A taste of honey
02
1965-12-27
18
Kaempfert, Bert
Moon over Naples
03
1965-12-27
18
Martino, Al
Spanish eyes
03
1965-10-09
17
Barry, Len
1-2-3
03
1965-11-06
15
Four Seasons, The
Let's hang on
09
1965-01-02
15
Righteous Brothers, The
You've lost that lovin' feelin'
02
1965-03-20
15
Clark, Petula
I know a place
02
1965-10-09
15
Rolling Stones, The
Get off of my cloud
01
1965-10-09
14
Clark, Petula
You're the one
04
1965-10-09
14
Vogues, The
You're the one
04
1965-02-06
14
Miller, Roger
King of the road
04
1965-10-02
14
Gentrys, The
Keep on dancing
05
03
02
9
Palmarès anglophone et allophone
DATE
Titres de plus grande longévité
NOMBRE DE
SEMAINES
SUR LE
PALMARÈS
INTERPRÈTE
TITRE
MEILLEUR
RANG
ATTEINT
NOMBRE DE
SEMAINES AU
NO 1
1965-09-25
14
Beatles, The
Yesterday
01
1965-06-12
14
Jay & The Americans
Cara mia
03
03
1965-04-24
14
Sam The Sham & Pharaohs, The
Wooly bully
03
1965-04-24
14
Beatles, The
Ticket to ride
01
02
1965-02-06
14
Akens, Jewel
Birds and the bees, The
01
02
1966-02-19
13
Herman's Hermits
Listen people
04
1966-11-05
13
Hollies, The
Stop stop stop
02
1966-07-16
13
Hebb, Bobby
Sunny
01
02
1966-03-05
14
Lovin' Spoonful, The
Daydream
01
01
1966-10-29
14
Beach Boys, The
Good vibrations
09
1966
1966-02-12
14
Fuller, Bobby, Four
I fought the law
05
1966-10-29
14
Purify, James & Purify, Bobby
I'm your puppet
06
1966-10-29
14
Peter & Gordon
Lady Godiva
06
1966-09-17
14
Four Tops, The
Reach out I'll be there
06
1966-10-29
14
Clark, Petula
Who am I?
11
1966-11-05
14
Supremes, The
You keep me hangin' on
02
04
1966-10-22
15
Ryder, Mitch & Detroit Wheels, The
Devil with a blue dress on & Good golly Miss Molly
1966-12-24
15
Seekers, The
Georgy girl
01
03
1966-06-04
15
Jones, Jack
Strangers in the night
01
01
1966-06-04
15
Kaempfert, Bert
Strangers in the night
01
01
1966-06-04
15
Sinatra, Frank
Strangers in the night
01
01
1966-01-08
15
Alpert, Herb & Tijuana Brass, The
Zorba the greek
07
1966-11-05
16
New Vaudeville Band, The
Winchester Cathedral
01
04
1966-11-05
16
Rollin, Dana
Winchester Cathedral
01
04
1966-01-08
17
Clark, Petula
My love
01
05
1967-11-25
17
Gladys Knight & Pips, The
I heard it through the grapevine
02
1967-04-22
16
Revere, Paul & Raiders, The
Him or me - what's it gonna be?
04
1967-05-20
16
Association, The
Windy
01
03
1967-09-30
15
Lulu
To Sir with love
01
03
1967-03-25
15
Sinatra, Nancy & Sinatra, Frank
Somethin' stupid
01
03
1967
10
Palmarès anglophone et allophone
DATE
Titres de plus grande longévité
NOMBRE DE
SEMAINES
SUR LE
PALMARÈS
INTERPRÈTE
TITRE
MEILLEUR
RANG
ATTEINT
NOMBRE DE
SEMAINES AU
NO 1
1967-11-25
15
Rivers, Johnny
Summer rain
03
1967-05-20
14
Every Mother's Son
Come on down to my boat
11
1967-04-22
14
Jefferson Airplane
Somebody to love
05
1967-02-11
13
Buffalo Springfield, The
For what it's worth (Stop hey what's that sound)
04
1967-06-17
13
Procol Harum
A whiter shade of pale
01
04
1967-12-23
12
Lemon Pipers, The
Green tambourine
01
03
1967-09-23
12
Association, The
Never my love
02
1967-08-26
12
Vee, Bobby
Come back when you grow up
01
1967-05-20
12
Marvelettes, The
When you're young and in love
05
1967-05-13
12
Temptations, The
All I need
02
04
1968
1968-04-06
14
Box Tops, The
Cry like a baby
01
1968-11-23
14
Wilson, Jackie
For once in my life
08
1968-11-23
14
For once in my life
08
1968-12-07
14
Wonder, Stevie
Supremes, The & Ross, Diana &
Temptations, The
I'm gonna make you love me
01
1968-09-28
14
5th Dimension, The
Sweet blindness
09
1968-09-14
15
O'Kaysions, The
Girl watcher
04
1968-12-07
15
Presley, Elvis
If I can dream
03
1968-10-19
15
Steppenwolf
Magic carpet ride
02
1968-04-27
15
Bell, Archie & Drells, The
Tighten up
02
1968-10-05
15
Cream
White room
05
1968-03-30
15
Puckett, Gary & The Union Gap
Young girl
01
1968-09-28
16
Archies, The
Bang-shang-a-lang
08
1968-11-23
16
Derek
Cinnamon
03
1968-11-09
16
Vinton, Bobby
I love how you love me
05
03
01
03
1968-10-19
16
Supremes, The & Ross, Diana
Love child
01
03
1968-10-19
16
Hopkin, Mary
Those were the days
01
02
1968-11-16
16
Campbell, Glen
Wichita lineman
01
04
1968-07-20
17
Rascals, The
People got to be free
01
05
1968-04-06
18
Goldsboro, Bobby
Honey
01
02
1968-10-19
19
Humperdinck, Engelbert
Bicyclettes de Belsize, Les
01
01
1968-09-14
23
Beatles, The
Hey Jude
01
06
11
Palmarès anglophone et allophone
DATE
1968-09-14
Titres de plus grande longévité
NOMBRE DE
SEMAINES
SUR LE
PALMARÈS
23
INTERPRÈTE
MEILLEUR
RANG
ATTEINT
TITRE
Pickett, Wilson
Hey Jude
NOMBRE DE
SEMAINES AU
NO 1
01
06
01
1969
1969-12-20
18
Led Zeppelin
Whole lotta love
01
1969-02-08
18
1910 Fruitgum Co.
Indian giver
04
1969-12-27
17
Shocking Blue, The
Venus
01
1969-12-06
17
Thomas, B.J. (Billy Joe)
Raindrops keep fallin' on my head
02
01
1969-11-01
17
Steam
Na na hey hey kiss him goodbye
01
05
1969-08-09
17
Archies, The
Sugar, sugar
01
02
1969-10-18
17
Beatles, The
Come together
01
01
1969-10-18
17
Beatles, The
Something
01
01
1969-01-04
16
James, Tommy & Shondells, The
Crimson and clover
01
03
1969-02-01
16
Roe, Tommy
Dizzy
02
1969-01-04
15
Turtles, The
You showed me
06
1969-01-04
15
Sly & Family Stone, The
Everyday people
04
1969-03-22
15
5th Dimension, The
Aquarius ; Let the sunshine in (The flesh failures)
1
01
1969-02-08
15
Humperdinck, Engelbert
Way it used to be, The
01
03
1969-07-12
14
Box Tops, The
Soul deep
12
1969-07-05
14
Guess Who, The
Laughing
06
1969-12-13
14
Humperdinck, Engelbert
Winter world of love
02
1969-07-05
14
Rogers, Kenny & First Edition, The
Ruby, don't take your love to town
03
1969-06-14
14
Kim, Andy
Baby, I love you
05
1970
1970-06-20
21
Mashmakhan
As the years go by
01
08
1970-08-15
20
Rare Earth
I know) I'm losing you
01
02
1970-09-05
17
Free
All right now
01
01
1970-09-12
17
Taylor, R. Dean
Indiana wants me
01
03
1970-12-19
17
Anderson, Lynn
Rose garden
01
03
1970-12-05
17
Harrison, George
My sweet Lord
01
04
1970-12-05
17
Dawn
Knock three times
01
01
1970-06-13
17
Rios, Miguel
A song of joy
3
1970-09-19
16
Campbell, Glen
It's only make believe
04
1970-09-19
15
Jacksons, The
I'll be there
01
02
12
Palmarès anglophone et allophone
DATE
Titres de plus grande longévité
NOMBRE DE
SEMAINES
SUR LE
PALMARÈS
INTERPRÈTE
TITRE
MEILLEUR
RANG
ATTEINT
NOMBRE DE
SEMAINES AU
NO 1
1970-09-19
15
Carpenters, The
We've only just begun
1970-12-19
15
Gladys Knight & Pips, The
If I were your woman
04
03
1970-03-14
15
Greenbaum, Norman
Spirit in the sky
01
1970-11-28
15
Runt
We gotta get you a woman
11
1970-08-08
15
Creedence Clearwater Revival
Lookin' out my back door
01
1971-10-16
37
Pagliaro, Michel
She moves light
02
1971-10-16
37
Pagliaro, Michel
Lovin' you ain't easy
02
1971-11-28
32
Hayes, Isaac
Theme from Shaft
06
1971-10-16
28
Lennon, John & Plastic Ono Band
Imagine
01
07
1971-05-08
26
Starr, Ringo
It don't come easy
01
03
1971-09-25
25
Chicago
Colour my world
03
01
01
1971
1971-10-09
24
Daydé
Mammy blue
01
03
1971-10-09
24
Pop Tops, Los
Mammy blue
01
03
1971-07-03
24
Knight, Jean
Mr. Big stuff
01
01
1971-05-22
23
Jones, Tom
Puppet man
09
1971-07-10
23
Stampeders, The
Sweet city woman
01
03
1971-06-19
22
Revere, Paul & Raiders, The
Indian reservation (The Lament of the Cherokee)
01
01
1971-05-15
21
Cornelius Brothers & Sister Rose
Treat her like a lady
01
01
1971-06-05
21
Taylor, James
You've got a friend
03
1971-07-10
21
Bee Gees, The
How can you mend a broken heart?
01
02
1971-08-28
21
McCartney, Paul & McCartney, Linda
Uncle Albert / Admiral Halsey
01
09
1971-06-05
21
Flack, Roberta & Hathaway, Donny
You've got a friend
03
1971-07-03
20
Denver, John
Take me home, country roads
06
1971-07-10
20
James, Tommy
Draggin' the line
01
1971-08-14
20
Osmond, Donny
Go away little girl
02
1971-10-09
20
Black, Terry & Ward, Laurel
Goin' down (on the road to L.A.)
02
1971-12-04
20
Sly & Family Stone, The
Family affair
02
05
1972
1972-12-09
29
John, Elton
Crocodile rock
01
1972-08-19
25
Presley, Elvis
Burning love
08
03
13
Palmarès anglophone et allophone
DATE
Titres de plus grande longévité
NOMBRE DE
SEMAINES
SUR LE
PALMARÈS
INTERPRÈTE
MEILLEUR
RANG
ATTEINT
TITRE
NOMBRE DE
SEMAINES AU
NO 1
1972-09-09
25
Hot Butter
Popcorn
01
03
1972-07-08
24
O'Sullivan, Gilbert
Alone again naturally
01
09
1972-03-04
23
Osmond, Donny
Puppy love
01
10
1972-12-23
23
Paul, Billy
Me and Mrs. Jones
01
01
1972-09-09
23
Glitter, Gary
Rock and roll (part 2)
02
1972-05-06
23
Gallery
Nice to be with you
01
1972-04-08
22
Badfinger
Baby blue
03
1972-01-08
21
Badfinger
Day after day
01
1972-01-08
21
McLean, Don
American pie
02
1972-07-22
20
Hollies, The
Long cool woman (in a black dress)
01
1972-08-05
20
Boone, Daniel
Beautiful Sunday
03
02
1972-09-23
20
Berry, Chuck
My ding-a-ling
1972-07-08
20
Cooper, Alice
School's out
04
1972-06-17
20
Mouth & MacNeal
How do you do?
02
1972-01-22
19
Osmonds, The
Down by the lazy river
03
1972-03-18
19
Tex, Joe
I gotcha
4
1972-03-18
19
Tex, Joe
A mother's prayer
04
04
05
01
1972-10-07
19
Moody Blues, The
Nights in white satin
01
04
1972-05-06
19
Pagliaro, Michel
Rainshowers
01
02
1972-08-12
19
Three Dog Night
Black and white
01
02
1973
1973-06-30
36
O'Sullivan, Gilbert
Get down
01
01
1973-06-30
32
Dibango, Manu
Soul makossa
01
04
1973-10-27
30
Barrabas
Woman
01
03
1973-05-05
30
McCartney, Paul & Wings
My love
01
06
1973-09-22
29
Rolling Stones, The
Angie
01
05
1973-08-25
29
Stories, The
Brother Louie
01
05
1973-09-01
28
Incredible Bongo Band, The
Bongo rock
01
03
1973-11-24
27
Rich, Charlie
Most beautiful girl in the world, The
01
01
1973-12-08
27
Jacks, Terry
Seasons in the sun
01
03
1973-07-28
26
Pink Floyd
Money
07
1973-04-14
25
Stealers Wheel
Stuck in the middle with you
01
06
14
Palmarès anglophone et allophone
DATE
Titres de plus grande longévité
NOMBRE DE
SEMAINES
SUR LE
PALMARÈS
INTERPRÈTE
MEILLEUR
RANG
ATTEINT
TITRE
NOMBRE DE
SEMAINES AU
NO 1
1973-11-24
25
Roussos, Demis
Goodbye, my love, goodbye
12
1973-11-24
24
John, Elton
Goodbye yellow brick road
03
1973-03-10
23
Nash, Johnny
Stir it up
01
1973-06-23
22
Carpenters, The
Yesterday one more
03
1973-12-22
22
Led Zeppelin
D'yer mak'er
03
1973-01-20
22
Thomas, Timmy
Why can't we live together?
01
1973-12-22
22
War
Me and baby brother
04
1973-09-01
22
Simon, Paul
Loves me like a rock
03
1973-09-22
21
Gary & Dave
Could you ever love me again?
02
1973-07-07
21
Mashmakhan
Dance a little step
05
1973-06-09
21
Simon, Paul
Kodachrome
04
1973-02-10
21
Jackson, Jermaine
Daddy's home
01
02
02
04
1974
1974-09-14
38
Bachman-Turner Overdrive
You ain't seen nothing yet
01
05
1974-06-22
34
McCrae, George
Rock your baby
01
10
1974-04-20
34
Grand Funk Railroad
Loco-motion, The
01
01
1974-05-25
29
Peppers, The
Pepper box
04
1974-01-12
29
Starr, Ringo
You're sixteen
01
1974-11-09
27
B.T. Express
Do it ('til you're satisfied)
02
1974-08-24
27
Rubettes, The
Sugar baby love
02
1974-08-10
27
Paper Lace
Night Chicago died, The
01
03
1974-04-06
26
MFSB & Bell, Thom
Something for nothing
1
03
1974-04-06
26
MFSB & Three Degrees, The
TSOP (The Sound of Philadelphia)
1
03
1974-05-25
25
McCartney, Paul & Wings
Band on the run
01
02
1974-12-21
25
Douglas, Carol
Doctor's orders
01
04
1974-06-29
24
Hues Corporation, The
Rock the boat
01
02
1974-11-23
24
Douglas, Carl
Kung fu fighting
01
07
1974-02-16
24
Love Unlimited Orchestra
Love's theme
01
02
1974-04-20
24
Lightfoot, Gordon
Sundown
05
1974-03-09
22
Redbone
Come and get your love
03
1974-06-15
22
Stylistics, The
You make me feel brand new
02
1974-11-09
21
Swan, Billy
I can help
02
04
15
Palmarès anglophone et allophone
DATE
Titres de plus grande longévité
NOMBRE DE
SEMAINES
SUR LE
PALMARÈS
INTERPRÈTE
TITRE
MEILLEUR
RANG
ATTEINT
1974-12-21
21
Carpenters, The
Please Mr. Postman
02
1974-02-09
21
Essex, David
Rock on
01
1974-08-10
21
Osmond, Donny & Osmond, Mary
I'm leaving it up to you
03
1975-06-14
34
Captain & Tennille
Love will keep us together
03
1975-05-24
30
Bachman-Turner Overdrive
Hey you
02
NOMBRE DE
SEMAINES AU
NO 1
01
1975
1975-07-05
29
McCrae, Gwen
Rockin' chair
01
1975-03-15
29
Mann, Herbie
Hijack
02
05
1975-08-16
27
Campbell, Glen
Rhinestone cowboy
05
1975-08-23
26
Bowie, David
Fame
03
1975-07-19
26
Black Blood
A.I.E. A mwana
14
1975-08-23
26
KC & The Sunshine Band
You don't know
01
04
1975-08-23
26
KC & The Sunshine Band
Get down tonight
01
04
1975-08-23
25
Phillips, Esther
What a diff'rence a day makes
01
02
1975-10-11
23
Horne, Jimmy Bo
Gimme some
06
1975-04-05
23
Lennon, John
Stand by me
01
04
1975-02-08
22
B.T. Express
Express
01
03
1975-07-05
22
Ritchie Family, The
Brazil
04
1975-03-22
22
Anka, Paul
I don't like to sleep alone
02
1975-09-20
22
Albert, Morris
Feelings
01
1975-07-19
21
Bazuka
Dynomite
03
1975-09-13
21
Sweet
Ballroom blitz
03
1975-09-27
20
Sedaka, Neil & John, Elton
Bad blood
03
1975-10-11
20
KC & The Sunshine Band
That's the way (I like it)
01
1975-01-11
20
Disco Tex & Sex-o-lettes, The
Get dancin'
02
1975-08-23
20
Fender, Freddy
Wasted days and wasted nights
09
1975-01-25
20
LaBelle, Patti & Blue Belles, The
Lady Marmalade
02
1976-07-10
13
Manhattans, The
Kiss and say goodbye
01
1976-07-10
13
Green, Jesse
Nice and slow
02
1976-01-31
12
Baker, George, Selection
Paloma blanca, La
04
1976-07-31
12
Rawls, Lou
You'll never find another love like mine
01
04
10
1976
04
03
16
Palmarès anglophone et allophone
DATE
Titres de plus grande longévité
NOMBRE DE
SEMAINES
SUR LE
PALMARÈS
INTERPRÈTE
TITRE
MEILLEUR
RANG
ATTEINT
NOMBRE DE
SEMAINES AU
NO 1
1976-02-14
12
Carmen, Eric
All by myself
01
06
1976-08-14
11
KC & The Sunshine Band
Shake, shake, shake) Shake your booty
01
01
1976-02-28
11
Four Seasons, The
December, 1963 (Oh, what a night)
01
01
1976-11-06
11
Stewart, Rod
Tonight's the night
01
06
1976-09-25
11
Chicago
If you leave me now
01
02
1976-05-01
11
Andrea True Connection
More, more, more
01
03
1976-01-03
11
Sedaka, Neil
Breaking up is hard to do
03
1976-06-05
11
Charles, Tina
I love to love (but my baby loves to dance)
01
04
1976-03-27
10
Frampton, Peter
Show me the way (live)
01
03
1976-02-21
10
Captain & Tennille
Lonely night (Angel face)
03
1976-01-31
10
Nazareth
Love hurts
02
1976-05-01
10
Ocean, Billy
Love really hurts without you
05
03
1976-03-20
10
Nightingale, Maxine
Right back where we started from
1976-06-12
10
Wright, Gary
Love is alive
02
1976-09-18
10
Wild Cherry
Play that funky music
02
1976-10-09
10
Lightfoot, Gordon
Wreck of the Edmund Fitzgerald, The
03
1976-09-25
10
Summer, Donna
Try me, I know we can make it
01
1976-07-31
10
Frampton, Peter
Baby, I love your way
04
04
1977
1977-12-17
25
Chic
Dance, dance, dance
01
1977-11-19
24
Fleetwood Mac
You make loving fun
04
01
1977-11-12
22
Santa Esmeralda
Don't let me be misunderstood
01
1977-12-31
20
McCartney, Paul & Wings
Girls' school
05
1977-12-31
20
McCartney, Paul & Wings
Mull of Kintyre
05
1977-08-27
17
Summer, Donna
I feel love
01
1977-11-19
16
Boone, Debby
You light up my life
01
01
1977-09-24
16
Meco
Star wars theme / Cantina band
01
05
1977-10-29
16
Heatwave
Boogie nights
02
1977-12-24
16
Stewart, Rod
You're in my heart
03
1977-12-24
16
Simon, Paul
Slip slidin' away
02
1977-11-05
15
Bee Gees, The
How deep is your love
01
1977-10-29
15
Chicago
Baby, what a big surprise
04
07
04
06
17
Palmarès anglophone et allophone
DATE
Titres de plus grande longévité
NOMBRE DE
SEMAINES
SUR LE
PALMARÈS
INTERPRÈTE
MEILLEUR
RANG
ATTEINT
TITRE
1977-12-03
15
Ronstadt, Linda
It's so easy
1977-09-10
15
Lake, Greg
C'est la vie
01
1977-10-29
14
Gayle, Crystal
Don't it make my brown eyes blue
03
1977-12-31
14
Player
Baby come back
03
1977-11-26
13
Hill, Dan
Sometimes when we touch
06
1977-09-17
13
KC & The Sunshine Band
Keep it comin' love
02
1977-07-16
12
Gibb, Andy
I just want to be your everything
01
1977-11-19
12
White, Barry
It's ecstasy when you lay down
07
1977-08-20
12
Fleetwood Mac
Don't stop
02
1977-04-30
12
Sayer, Leo
When I need you
01
1977-12-24
12
Ronstadt, Linda
Blue bayou
12
1978-07-22
28
Boney M
Rivers of Babylon
04
NOMBRE DE
SEMAINES AU
NO 1
09
04
02
05
1978
1978-06-03
27
Travolta, John & Newton-John, Olivia
You're the one that I want
01
11
1978-07-15
26
Valli, Frankie
Grease
01
05
1978-09-30
26
Young, Karen
Hot shot
10
1978-07-08
25
Rolling Stones, The
Miss you
02
1978-05-13
25
Flack, Roberta & Hathaway, Donny
Closer I get to you, The
04
1978-11-04
25
Douglas, Carol
Burnin'
02
1978-10-07
25
Murray, Anne
You needed me
07
1978-07-08
24
Summer, Donna
Last dance
04
1978-06-24
24
Tyler, Bonnie
It's a heartache
02
1978-06-10
24
Young, John Paul
Love is in the air
2
1978-06-10
24
Stevens, Martin
Love is in the air
02
1978-07-08
24
Manilow, Barry
Copacabana
03
1978-01-28
24
Bee Gees, The
Stayin' alive
01
1978-11-11
24
Musique
In the bush
06
1978-11-25
23
Goody Goody
#1 dee jay
02
1978-09-09
23
Taste of Honey, A
Boogie oogie oogie
01
1978-12-30
23
Village People
Y.M.C.A.
04
1978-12-09
23
Chic
Freak, Le
01
1978-09-09
23
King, Evelyn Champagne
Shame
02
12
04
08
18
Palmarès anglophone et allophone
DATE
1978-04-22
Titres de plus grande longévité
NOMBRE DE
SEMAINES
SUR LE
PALMARÈS
23
INTERPRÈTE
TITRE
Elliman, Yvonne
MEILLEUR
RANG
ATTEINT
If I can't have you
01
09
NOMBRE DE
SEMAINES AU
NO 1
01
1979
1979-07-28
20
James, Freddie
Everybody get up and boogie
1979-01-27
19
Stewart, Rod
Da ya think I'm sexy?
01
04
1979-02-17
19
Gaynor, Gloria
I will survive
01
03
1979-08-11
19
Stevens, Martin
Midnight music
01
01
1979-12-08
18
B-52's, The
Planet Claire
03
1979-05-12
18
Summer, Donna
Hot stuff
01
1979-01-13
18
Toto
Hold the line
03
1979-03-24
18
Doobie Brothers, The
What a fool believes
08
1979-02-03
18
Boney M
Rasputin
03
1979-03-24
17
Stewart, Amii
Knock on wood
01
1979-03-03
17
Peaches And Herb
Shake your groove thing
07
1979-02-17
17
Pointer Sisters, The
Fire
05
1979-02-17
17
Starr, Edwin
Contact
03
03
03
1979-03-03
17
Bee Gees, The
Tragedy
01
02
1979-05-05
16
Peaches And Herb
Reunited
01
02
1979-05-05
16
Bee Gees, The
Love you inside out
03
1979-01-13
16
Three Degrees, The
Giving up, giving in
13
1979-06-02
16
Sister Sledge
We are family
01
02
1979-06-16
16
Hernandez, Patrick
Born to be alive
01
01
1980
1980-03-01
18
Pink Floyd
Another brick in the wall
01
01
1980-11-29
17
Lennon, John
Just like) Starting over
01
03
1980-06-07
16
Joel, Billy
It's still rock and roll to me
01
05
1980-01-12
16
Queen
A crazy little thing called love
01
06
1980-02-02
16
Summer, Donna
On the radio
02
1980-06-14
16
Burnette, Rocky
Tired of toein' the line
02
1980-10-11
15
Streisand, Barbra
Woman in love
01
1980-05-17
15
McCartney, Paul & Wings
Coming up (live at Glasgow)
02
01
1980-12-20
15
Blondie
Tide is high, The
01
02
1980-03-22
15
Blondie
Call me
01
02
19
Palmarès anglophone et allophone
DATE
Titres de plus grande longévité
NOMBRE DE
SEMAINES
SUR LE
PALMARÈS
INTERPRÈTE
TITRE
MEILLEUR
RANG
ATTEINT
1980-02-09
15
Diamond, Neil
September morn'
06
1980-05-31
15
John, Elton
Little Jeannie
01
1980-02-09
14
Toto
99
07
NOMBRE DE
SEMAINES AU
NO 1
03
1980-12-27
14
Longfellow, Baron
Amour
03
1980-02-16
14
Spinners, The
Working my way back to you / Forgive me, girl
01
02
1980-07-05
14
Newton-John, Olivia
Magic
01
02
1980-07-05
14
Manhattans, The
Shining star
01
01
1980-01-12
14
Forbert, Steve
Romeo's tune
06
1980-10-18
14
Summer, Donna
Wanderer, The
01
1980-01-12
14
Buggles, The
Video killed the radio star
04
1980-12-27
14
Stewart, Rod
Passion
01
1980-12-06
14
Air Supply
Every woman in the world
07
1980-12-06
14
Streisand, Barbra & Gibb, Barry
Guilty
04
03
05
1981
1981-12-19
21
Hall, Daryl & Oates, John
I can't go for that (No can do)
01
1981-10-31
21
Foreigner
Waiting for a girl like you
04
1981-10-24
21
Newton-John, Olivia
Physical
01
1981-11-14
19
Quarterflash
Harden my heart
07
1981-11-21
19
Buckingham, Lindsey
Trouble
02
1981-11-21
18
Benson, George
Turn your love around
01
1981-11-07
18
Stewart, Rod
Young Turks
05
1981-05-16
18
Smith, Frankie
Double dutch bus
01
1981-11-14
18
Kool & The Gang
Take my heart
03
1981-09-19
17
Cross, Christopher
Arthur's theme (Best that you can do)
01
1981-09-19
17
Hall, Daryl & Oates, John
Private eyes
12
1981-09-19
17
Four Tops, The
When she was my girl
05
1981-02-21
16
April Wine
Just between you and me
05
1981-10-03
16
Air Supply
Here i am (just when I thought I was over you)
01
02
02
02
02
07
05
1981-09-26
16
Jones, Quincy
Just once
07
1981-09-19
16
Lulu
I could never miss you
05
1981-11-28
15
Diamond, Neil
Yesterday's song
01
03
1981-05-09
15
Carnes, Kim
Bette Davis eyes
01
03
20
Palmarès anglophone et allophone
DATE
Titres de plus grande longévité
NOMBRE DE
SEMAINES
SUR LE
PALMARÈS
INTERPRÈTE
TITRE
MEILLEUR
RANG
ATTEINT
1981-12-26
15
Easton, Sheena
You could have been with me
01
1981-11-07
15
Newton, Juice
Sweetest thing, The
06
1981-12-26
15
Air Supply
Sweet dreams
06
1981-10-17
15
Ballroom Orchestra, Le
In the medley mood
06
1981-10-24
15
Commodores, The
Oh no
02
1982-10-30
27
Hall, Daryl & Oates, John
Maneater
01
1982-10-16
27
Branigan, Laura
Gloria
02
05
NOMBRE DE
SEMAINES AU
NO 1
04
1982
11
1982-11-13
26
Richie, Lionel
Truly
1982-11-27
25
Basil, Toni
Mickey
02
1982-12-11
24
Collins, Phil
You can't hurry love
04
1982-08-14
23
Manchester, Melissa
You should hear how she talks about you
02
1982-06-12
23
Miller, Steve
Abracadabra
01
1982-12-11
23
Toto
Africa
01
01
1982-08-28
22
Mellencamp, John
Jack and Diane
01
03
1982-09-04
21
Men at Work
Down under
05
1982-12-11
21
Gaye, Marvin
Sexual healing
01
01
1982-07-17
21
Chicago
Hard to say I'm sorry
01
02
1982-11-06
20
Supertramp
It's raining again
02
01
1982-09-25
20
Newton-John, Olivia
Heart attack
01
1982-09-11
20
Santana
Hold on
07
04
1982-10-30
19
Warwick, Dionne
Heartbreaker
04
1982-10-23
19
Stray Cats
Rock this town
11
1982-10-30
19
Cocker, Joe & Warnes, Jennifer
Up where we belong
02
1982-02-06
19
Newton-John, Olivia
Make a move on me
01
1982-10-02
19
ABC
Look of love, The
03
1982-06-26
19
Air Supply
Even the nights are better
01
1982-11-20
19
McCartney, Paul & Jackson, Michael
Girl is mine, The
02
1982-12-04
19
Gazebo
Masterpiece
09
1982-05-08
19
Imagination
Just an illusion
01
05
Flashdance... What a feeling
01
08
05
03
1983
1983-05-14
37
Cara, Irene
21
Palmarès anglophone et allophone
DATE
Titres de plus grande longévité
NOMBRE DE
SEMAINES
SUR LE
PALMARÈS
INTERPRÈTE
TITRE
MEILLEUR
RANG
ATTEINT
NOMBRE DE
SEMAINES AU
NO 1
1983-07-23
31
Eurythmics
Sweet dreams (are made of this)
01
01
1983-02-19
31
Jackson, Michael
Billie Jean
01
09
1983-06-11
31
Police, The
Every breath you take
01
03
1983-03-19
30
Tucker, Louise
Midnight blue
05
1983-06-25
29
Summer, Donna
She works hard for the money
01
1983-10-29
26
McCartney, Paul & Jackson, Michael
Say say say
01
08
1983-01-22
26
Culture Club
Do you really want to hurt me?
01
04
1983-03-05
26
Styx
Mr. Roboto
03
1983-12-24
26
Culture Club
Karma chameleon
01
07
1983-07-30
25
Sembello, Michael
Maniac
01
06
1983-06-04
24
Madness
Our house
02
1983-04-16
24
Jackson, Michael
Beat it
01
1983-06-18
24
Stewart, Rod
Baby Jane
02
1983-10-15
24
Richie, Lionel
All night long
01
1983-06-11
22
Kajagoogoo
Too shy
09
1983-09-03
22
Joel, Billy
Tell her about it
09
1983-02-12
22
Richie, Lionel
You are
07
1983-10-08
22
Rogers, Kenny & Parton, Dolly
Islands in the stream
06
1983-04-30
22
Taco
Puttin' on the Ritz
03
1983-05-21
21
Grant, Eddy
Electric Avenue
02
03
06
03
1984
1984-09-22
29
Wonder, Stevie
I just called to say I love you
01
1984-06-30
29
John, Elton
Sad songs
04
1984-03-31
27
Richie, Lionel
Hello
01
1984-09-01
26
Luba
Let it go
09
1984-12-22
25
Wham!
Careless whisper
01
1984-02-11
24
Van Halen
Jump
02
11
06
05
1984-12-22
23
Head, Murray
One night in Bangkok
03
1984-05-12
23
Branigan, Laura
Self control
01
08
1984-03-03
23
Lauper, Cyndi
Girls just want to have fun
01
05
1984-12-22
23
Foreigner
I want to know what love is
01
02
1984-10-27
22
Wham!
Wake me up before you go-go
04
22
Palmarès anglophone et allophone
DATE
Titres de plus grande longévité
NOMBRE DE
SEMAINES
SUR LE
PALMARÈS
INTERPRÈTE
TITRE
MEILLEUR
RANG
ATTEINT
1984-04-14
22
Iglesias, Julio & Nelson, Willie
To all the girls I've loved before
1984-09-01
22
Cars, The
Drive
02
1984-03-24
22
Collins, Phil
Against all odds (Take a look at me now)
01
1984-08-18
21
Lauper, Cyndi
She bop
06
NOMBRE DE
SEMAINES AU
NO 1
03
03
1984-11-24
21
Madonna
Like a virgin
01
04
1984-08-18
21
Waite, John
Missing you
01
03
1984-12-22
21
Bailey, Philip & Collins, Phil
Easy lover
01
03
1984-08-18
21
Jackson, Jermaine
Dynamite
03
1984-10-13
21
Hall, Daryl & Oates, John
Out of touch
01
1984-07-28
20
Turner, Tina
What's love got to do with it?
03
1985-08-24
26
Kool & The Gang
Cherish
01
07
1985-10-19
25
Opus
Live is life
01
09
1985-10-19
25
Collins, Phil & Martin, Marilyn
Separate lives (Love theme from White nights)
03
05
1985
1985-12-07
25
Warwick, Dionne & Friends
That's what friends are for
01
1985-05-04
25
Roth, David Lee
Just a gigolo / I ain't got nobody
02
1985-11-23
24
Richie, Lionel
Say you, say me
01
07
1985-09-21
23
Wonder, Stevie
Part-time lover
01
01
1985-09-28
22
Collins, Jayne
Madonna's eyes
17
1985-12-07
21
Baltimora
Tarzan boy
04
1985-06-15
21
Young, Paul
Everytime you go away
01
02
1985-06-08
21
Hart, Corey
Never surrender
01
05
1985-02-23
21
Tears for Fears
Shout
01
03
1985-09-14
20
Eurythmics
There must be an angel (playing with my heart)
02
1985-08-24
20
A-Ha
Take on me
03
1985-05-11
20
Ocean, Billy
Suddenly
08
1985-02-23
20
Collins, Phil
One more night
01
1985-12-28
20
Ocean, Billy
When the going gets tough, the tough get going
02
1985-12-07
20
Dream Academy, The
Life in a northern town
10
1985-11-02
19
Simple Minds
Alive and kicking
07
1985-02-09
19
Roth, David Lee
California girls
08
1985-12-21
19
Brown, James
Living in America
06
03
01
23
Palmarès anglophone et allophone
DATE
Titres de plus grande longévité
NOMBRE DE
SEMAINES
SUR LE
PALMARÈS
INTERPRÈTE
TITRE
MEILLEUR
RANG
ATTEINT
1985-10-12
19
Thompson Twins
Lay your hands on me
05
1985-10-12
19
Harris, Huey Baby
You've got to be a winner
16
1985-10-05
19
Houston, Whitney
Saving all my love for you
10
NOMBRE DE
SEMAINES AU
NO 1
1986
1986-09-27
29
De Burgh, Chris
Lady in red, The
01
08
1986-02-08
29
John, Elton
Nikita
01
10
1986-08-09
25
Bananarama
Venus
01
03
1986-03-15
24
Level 42
Something about you
03
1986-10-25
23
Boston
Amanda
03
1986-12-20
23
Fox, Samantha
Touch me
02
1986-03-22
23
Double
Captain of her heart, The
01
01
1986-08-30
23
Lewis, Huey & News, The
Stuck with you
01
03
1986-09-27
23
Johnson, Don
Heartbeat
10
1986-02-22
22
Ross, Diana
Chain reaction
02
1986-07-12
22
Madonna
Papa don't preach
01
1986-11-15
21
Martinez, Nancy
For tonight
15
1986-11-29
21
Bangles, The
Walk like an Egyptian
02
1986-09-20
21
Lauper, Cyndi
True colors
01
1986-08-09
21
Nacht & Nebel
Ready to dance
22
1986-03-08
21
Glass Tiger
Don't forget me
03
1986-04-26
20
Van Halen
Why can't this be love?
12
05
01
1986-05-03
20
Houston, Whitney
Greatest love of all
01
03
1986-08-23
20
Berlin
Take my breath away
01
03
1986-10-04
20
Joel, Billy
A matter of trust
05
1986-05-31
20
Gabriel, Peter
Sledgehammer
01
05
1986-11-08
20
Wang Chung
Everybody have fun tonight
01
03
1987-06-27
31
Michael, George
I want your sex
04
1987-08-01
28
Lobos, Los
Bamba, La
01
04
1987-04-18
25
Madonna
Isla bonita, La
01
09
1987-05-09
24
Medeiros, Glenn
Nothing's gonna change my love for you
02
1987-02-21
23
Europe
Final countdown, The
02
1987
24
Palmarès anglophone et allophone
DATE
Titres de plus grande longévité
NOMBRE DE
SEMAINES
SUR LE
PALMARÈS
INTERPRÈTE
TITRE
MEILLEUR
RANG
ATTEINT
NOMBRE DE
SEMAINES AU
NO 1
1987-04-04
22
Adams, Bryan
Heat of the night
09
1987-01-31
22
Bon Jovi
Livin' on a prayer
02
1987-10-24
22
Blue Rodeo
Try
05
1987-10-03
22
Idol, Billy
Mony Mony
10
1987-12-26
22
M/A/R/R/S
Pump up the volume
06
1987-06-13
21
Heart
Alone
02
1987-11-21
21
Harrison, George
Got my mind set on you
01
03
1987-11-14
21
Men Without Hats
Pop goes the world
01
01
1987-11-07
20
Michael, George
Faith
01
08
1987-04-04
20
Level 42
Lessons in love
02
1987-03-07
20
Vannelli, Gino
Wild horses
06
1987-01-31
20
MC Miker G & DJ Sven
Holiday rap
32
1987-03-07
20
Starship
Nothing's gonna stop us now
01
05
1987-09-26
20
Jackson, Michael
Bad
01
06
1988
1988-12-17
24
Brown, Sam
Stop
01
06
1988-03-26
24
Midnight Oil
Beds are burning
01
01
1988-09-03
24
Collins, Phil
A groovy kind of love
01
09
1988-09-17
22
Minogue, Kylie
Loco-motion, The
02
1988-08-27
21
Cheap Trick
Don't be cruel
03
1988-03-26
21
Salt-N-Pepa
Push it
15
1988-05-07
20
Michael, George
One more try
01
1988-06-04
20
Sade
Paradise
06
1988-09-03
20
Def Leppard
Love bites
02
1988-06-18
20
Gibson, Debbie
Foolish beat
01
1988-03-05
20
Ocean, Billy
Get outta my dreams, get into my car
01
05
1988-07-02
19
John, Elton
I don't wanna go on with you like that
01
04
1988-12-31
18
Candi
Under your spell
09
1988-02-06
18
Astley, Rick
Never gonna give you up
01
1988-09-24
18
McFerrin, Bobby
Don't worry, be happy
03
1988-11-12
18
De Burgh, Chris
Missing you
15
1988-03-12
18
Trent D'Arby, Terence
Wishing well
02
05
04
06
25
Palmarès anglophone et allophone
DATE
Titres de plus grande longévité
NOMBRE DE
SEMAINES
SUR LE
PALMARÈS
INTERPRÈTE
TITRE
MEILLEUR
RANG
ATTEINT
NOMBRE DE
SEMAINES AU
NO 1
1988-04-16
18
Johnny hates jazz
Shattered dreams
02
1988-12-03
18
Collins, Phil
Two hearts
01
03
1988-10-29
18
Michael, George
Kissing a fool
01
05
1988-04-23
18
Foreigner
I don't want to live without you
05
1989-12-09
21
John, Elton
Sacrifice
03
1989-11-04
20
Collins, Phil
Another day in paradise
01
10
1989-06-03
19
Simply Red
If you don't know me by now
01
06
1989-02-04
19
Orbison, Roy
You got it
01
05
1989-10-14
19
Kaoma
Lambada
16
1989-02-18
18
Abdul, Paula
Straight up
04
1989-02-11
18
Mike & The Mechanics
Living years
02
1989-03-04
18
Bangles, The
Eternal flame
05
1989-09-09
18
Tears for Fears
Sowing the seeds of love
01
01
1989-09-23
18
Roxette
Listen to your heart
01
02
1989-02-25
18
Fine Young Cannibals
She drives me crazy
03
1989-07-15
18
Henley, Don
End of the innocence, The
01
1989
1989-07-22
18
Kashtin
E uassiuian
10
1989-12-09
17
Stewart, Rod
Downtown train
02
1989-09-16
17
Myles, Alannah
Black velvet
06
1989-05-20
17
Waterfront
Cry
10
03
1990
1990-12-01
26
Isaak, Chris
Wicked game
01
04
1990-09-22
21
Dion, Céline
Where does my heart beat now?
01
06
1990-11-24
20
Vaya Con Dios
What's a woman?
01
03
1990-04-07
20
O'Connor, Sinead
Nothing compares 2 U
01
07
1990-04-28
20
John, Elton
Club at the end of the street
02
1990-05-05
20
Roxette
It must have been love
02
1990-03-31
19
Tears for Fears
Advice for the young at heart
03
1990-03-17
19
Dion, Céline
If there was) Any other way
02
1990-05-05
19
Collins, Phil
Do you remember?
01
1990-04-14
18
Heart
All I wanna do is make love to you
04
08
26
Palmarès anglophone et allophone
DATE
Titres de plus grande longévité
NOMBRE DE
SEMAINES
SUR LE
PALMARÈS
INTERPRÈTE
TITRE
MEILLEUR
RANG
ATTEINT
NOMBRE DE
SEMAINES AU
NO 1
1990-11-24
18
Wonder, Stevie
Keep our love alive
19
1990-09-29
18
Carey, Mariah
Love takes time
02
1990-03-10
17
Myles, Alannah
Lover of mine
05
1990-11-17
17
Michael, George
Freedom
06
1990-09-01
17
Michael, George
Praying for time
01
1990-09-22
17
Alias
More than words can say
03
1991-03-09
25
Medley, Sue
Maybe the next time
10
1991-04-20
24
Scorpions
Wind of change
01
1991-11-23
24
Dion, Céline & Bryson, Peabo
Beauty and the beast, The
06
1991-03-16
24
Palmer, Robert
Mercy mercy me (The Ecology)
07
1991-04-13
23
Somerville, Jimmy
To love somebody
04
1991-05-11
23
Extreme
More than words
01
1991-02-23
23
Londonbeat
I've been thinking about you
03
1991-12-07
22
Enya
Caribbean blue
17
1991-07-13
22
Adams, Bryan
Everything I do) I do it for you
01
09
1991-07-27
22
Dennis, Cathy
Too many walls
01
03
1991-03-30
22
Grant, Amy
Baby, baby
04
1991-03-23
21
Dion, Céline
Last to know, The
01
1991-09-21
21
Adams, Bryan
Can't stop this thing we started
02
1991-03-02
21
Astley, Rick
Cry for help
01
1991-08-24
21
Chicago
You come to my senses
07
03
1991
1991-06-29
21
Stewart, David & Dulfer, Candy
Lily was here
02
1991-06-22
21
Kravitz, Lenny
It ain't over 'til it's over
07
1991-08-24
21
Scorpions
Send me an angel
05
1991-10-05
20
Young, Paul & Zucchero
Senza una donna (Without a woman)
01
1991-06-22
20
Escape Club, The
I'll be there
03
1991-05-18
20
Abdul, Paula
Rush, rush
01
1991-03-30
20
R.E.M.
Losing my religion
05
1991-02-09
20
Wilson Phillips
You're in love
01
1991-05-25
20
Voisine, Roch
On the outside
09
1991-11-23
20
Carey, Mariah
Can't let go
01
02
02
04
04
06
06
03
04
27
Palmarès anglophone et allophone
DATE
Titres de plus grande longévité
NOMBRE DE
SEMAINES
SUR LE
PALMARÈS
INTERPRÈTE
TITRE
MEILLEUR
RANG
ATTEINT
NOMBRE DE
SEMAINES AU
NO 1
1992
1992-09-05
29
Charles & Eddie
Would I lie to you?
1992-05-23
24
Secada, Jon
Just another day
03
02
1992-03-07
22
Williams Brothers, The
Can't cry hard enough
02
1992-11-14
22
Sade
No ordinary love
02
1992-07-11
22
Madonna
This used to be my playground
01
01
1992-08-22
22
Richie, Lionel
My destiny
06
1992-07-04
22
Williams, Vanessa
Just for tonight
11
1992-08-22
22
Smyth, Patty & Henley, Don
Sometimes love just ain't enough
01
08
1992-11-28
21
Houston, Whitney
I will always love you
01
07
1992-08-15
21
Joel, Billy
All shook up
02
1992-06-27
21
John, Elton
One, The
01
08
1992-02-01
21
Marx, Richard
Hazard
01
09
1992-12-19
21
Richie, Lionel
Love, oh love
15
1992-05-30
21
Grant, Amy
I will remember you
10
1992-03-28
20
Metallica
Nothing else matters
07
1992-05-09
20
Genesis
Hold on my heart
01
1992-06-13
20
Carey, Mariah
I'll be there
02
1992-12-19
20
Jackson, Michael
Heal the world
03
1992-11-21
20
Gabriel, Peter
Steam
05
1992-08-01
20
Dion, Céline
Nothing broken but my heart
03
1993-08-07
25
Joel, Billy
River of dreams, The
01
1993-05-29
25
Turner, Tina
I don't wanna fight
05
02
04
1993
1993-09-04
23
Stewart, Rod
Reason to believe
1993-06-05
23
Sting
Fields of gold
01
1993-05-01
22
Carroll, Dina
So close
10
1993-10-16
22
Voisine, Roch
I'll always be there
01
08
03
09
1993-10-16
22
Adams, Bryan
Please forgive me
02
1993-06-19
22
Brightman, Sarah
Captain Nemo
01
03
1993-11-13
22
Dion, Céline
Power of love, The
01
06
1993-04-17
22
Restless Heart
Tell me what you dream
15
28
Palmarès anglophone et allophone
DATE
Titres de plus grande longévité
NOMBRE DE
SEMAINES
SUR LE
PALMARÈS
INTERPRÈTE
TITRE
MEILLEUR
RANG
ATTEINT
1993-03-27
22
Houston, Whitney
I have nothing
01
1993-12-18
22
Crowded House
Distant sun
05
1993-02-20
22
Archer, Tasmin
Sleeping satellite
02
1993-11-27
21
Bolton, Michael
Said I love you...but I lied
02
1993-03-13
21
Dion, Céline
Water from the moon
01
1993-03-13
21
Sade
Kiss of life
05
1993-08-21
21
4 Non Blondes
What's up?
07
1993-10-23
21
Brightman, Sarah
Once in a lifetime
03
1993-04-24
21
Isaak, Chris
Can't do a thing
01
1993-05-22
20
Charles, Ray
A song for you
16
1993-10-23
20
Christians, The
Bottle, The
07
1993-07-03
20
Soul Asylum
Runaway train
03
1993-11-20
20
Adams, Bryan & Stewart, Rod & Sting All for love
02
1993-01-16
20
Young, Neil
Harvest moon
02
1993-11-27
20
John, Elton & Dee, Kiki
True love
10
1993-11-27
20
Etheridge, Melissa
Come to my window
11
1993-07-17
20
Aerosmith
Crying
07
NOMBRE DE
SEMAINES AU
NO 1
02
03
04
1994
1994-11-19
27
Arden, Jann
Insensitive
02
1994-02-12
25
Springsteen, Bruce
Streets of Philadelphia
01
1994-10-01
23+
Palmer, Robert
Know by now
02
1994-12-03
23
Boyz II Men
On bended knee
01
1994-10-08
23
John, Elton
Circle of life
08
1994-12-31
23
Madonna
Take a bow
01
1994-02-19
23
Carey, Mariah
Without you
02
1994-03-19
23
Demus, Chaka & Pliers
Twist and shout
03
1994-09-10
22
Wet Wet Wet
Love is all around
04
1994-12-17
22
Crow, Sheryl
Strong enough
02
1994-02-19
22
Voisine, Roch
There's no easy way
08
1994-10-01
21 +
Bon Jovi
Always
04
1994-03-05
21
Dion, Céline
Misled
04
1994-10-29
21
Sting
When we dance
03
06
02
05
29
Palmarès anglophone et allophone
DATE
Titres de plus grande longévité
NOMBRE DE
SEMAINES
SUR LE
PALMARÈS
INTERPRÈTE
TITRE
MEILLEUR
RANG
ATTEINT
NOMBRE DE
SEMAINES AU
NO 1
1994-03-05
21
Norman, Patrick
Whispering shadows
07
1994-04-30
21
Prince
Most beautiful girl in the world, The
08
1994-11-26
21
De Burgh, Chris
Here is your paradise
16
1994-09-17
21
Carey, Mariah & Vandross, Luther
Endless love
01
01
1994-03-26
21
Big Mountain
Baby, I love your way
01
06
1994-09-03
20
Boyz II Men
I'll make love to you
01
03
1994-06-25
20
Voisine, Roch
Shout out loud
01
05
1994-04-23
20
Curci, Freddy
Brown eyed girl
01
07
1994-06-04
20
John, Elton
Can you feel the love tonight?
02
1995
1995-11-25
38
U2 & Pavarotti, Luciano
Miss Sarajevo
04
1995-09-02
27
Jackson, Janet
Runaway
02
1995-11-04
25
Madonna
You'll see
03
1995-11-25
25
Carey, Mariah
One sweet day
02
1995-03-11
25
Lennox, Annie
No more I love you's
02
1995-04-08
24
Yaki-Da
I saw you dancing
02
1995-04-15
24
Adams, Bryan
Have you ever really loved a woman?
01
01
1995-06-03
24
Boyz II Men
Water runs dry
01
03
1995-04-01
24
Scorpions
White dove
03
1995-09-02
23
Take That
Back for good
02
1995-01-21
23
Williams, Vanessa
Sweetest days, The
11
1995-01-28
23
Eagles, The
Love will keep us alive
03
1995-03-11
22
Wonder, Stevie
For your love
05
1995-11-11
22
Houston, Whitney
Exhale (Shoop shoop)
01
08
1995-07-22
21
Lennox, Annie
A whiter shade of pale
01
01
1995-07-15
21
All-4-One
I can love you like that
04
1995-07-15
20
Williams, Vanessa
Colors of the wind
12
1995-05-27
20
Abdul, Paula
My love is for real
03
1995-06-10
20
Stewart, Rod
Leave Virginia alone
01
1995-11-18
19
John, Elton
Blessed
07
1995-09-23
19
Bolton, Michael
Can I touch you there?
01
1995-04-29
19
Collective Soul
December
12
08
03
30
Palmarès anglophone et allophone
DATE
Titres de plus grande longévité
NOMBRE DE
SEMAINES
SUR LE
PALMARÈS
INTERPRÈTE
TITRE
MEILLEUR
RANG
ATTEINT
1995-10-07
19
Cetera, Peter & Bernard, Crystal
Forever tonight
06
1995-07-22
19
Collins, Edwyn
A girl like you
07
1995-06-17
19
Soul Asylum
Misery
04
1995-06-24
19
Adams, Bryan
Low life
11
1996-01-27
39
Bolton, Michael
A love so beautiful
11
NOMBRE DE
SEMAINES AU
NO 1
1996
1996-03-16
35
Richie, Lionel
Don't wanna lose you
03
1996-04-13
33
Chapman, Tracy
Give me one reason
01
1996-08-31
33
Soul Attorneys
So they say
02
1996-02-17
31
Collins, Phil
Somewhere
04
1996-12-28
31
Madonna
Don't cry for me Argentina
02
1996-03-23
31
Houston, Whitney & Winans, Cece
Count on me
14
1996-03-09
30
John, Elton
Please
12
1996-08-24
29
Adams, Bryan
Let's make a night to remember
01
1996-11-30
28
Streisand, Barbra & Adams, Bryan
I finally found someone
02
1996-12-28
28
Braxton, Toni
Un-break my heart
01
06
1996-07-06
28
Clapton, Eric
Change the world
01
08
1996-10-26
27
Bolton, Michael
Love is the power
13
1996-09-21
27
John, Elton
You can make history
06
1996-02-17
27
Dion, Céline
Because you loved me
01
11
1996-03-23
26
Carey, Mariah
Always be my baby
01
01
1996-08-03
26
Dion, Céline
It's all coming back to me now
01
03
1996-10-19
25
Journey
When you love a woman
01
08
1996-01-20
24
Stewart, Rod
So far away
06
1996-12-21
21
For Real
Like I do
15
1996-09-28
21
Collins, Phil
Dance into the light
02
1996-10-19
21
Cranberries, The
When you're gone
02
1997-03-15
44
Marx, Richard
Until I find you again
12
1997-07-12
42
Bocelli, Andrea & Brightman, Sara
Time to say goodbye
04
1997-02-15
40
Secada, Jon
Too late, too soon
01
1997-05-24
40
Braxton, Toni
I don't want you
04
04
05
1997
05
31
Palmarès anglophone et allophone
DATE
Titres de plus grande longévité
NOMBRE DE
SEMAINES
SUR LE
PALMARÈS
INTERPRÈTE
TITRE
MEILLEUR
RANG
ATTEINT
NOMBRE DE
SEMAINES AU
NO 1
1997-12-06
38
Savage Garden
Truly madly deeply
02
1997-08-23
37
Marx, Richard
Surrender to me
08
1997-04-12
35
Bee Gees, The
Alone
01
07
1997-06-21
34
Hart, Corey
Third of June
01
05
1997-03-01
30
Voisine, Roch
Deliver me
03
1997-03-22
30
Soul Attorneys
See the people
02
1997-11-08
29
Lang, Jonny
Missing your love
01
1997-01-25
29
Collins, Phil
It's in your eyes
03
05
1997-12-13
27
Dion, Céline
My heart will go on (Love theme from Titanic)
01
1997-02-01
26
Dion, Céline
All by myself
01
04
1997-10-11
25
Dion, Céline & Streisand, Barbra
Tell him
01
09
02
1997-09-27
25
John, Elton
Candle in the wind 1997
01
1997-03-15
24
Adams, Bryan
I'll always be right there
03
1997-02-01
24
Hart, Corey
Tell me
03
1997-08-30
23
Jewel
Foolish games
02
1997-11-15
23
Bolton, Michael
Best of love, The
09
1997-06-14
22
Spice Girls
2 become 1
01
1997-11-01
21
McKennitt, Loreena
Mummer's dance, The
29
08
04
1998
1998-03-07
64
Imbruglia, Natalie
Torn
03
1998-04-04
48
McLachlan, Sarah
Adia
01
02
1998-02-21
47
Clapton, Eric
My father's eyes
01
05
1998-10-31
44
Collins, Phil
True colors
10
1998-10-17
44
Dion, Céline & R. Kelly
I'm your angel
05
1998-03-21
43
Brightman, Sarah
There for me
06
1998-01-10
39
Spice Girls
Too much
01
1998-08-08
39
Spice Girls
Viva forever
01
08
1998-12-12
38
Cher
Believe
01
05
01
1998-07-18
37
Paige, Jennifer
Crush
01
1998-06-13
34
Dion, Céline & Bee Gees, The
Immortality
04
1998-11-21
32
McLachlan, Sarah
Angel
09
1998-09-19
32
Adams, Bryan
On a day like today
01
01
07
32
Palmarès anglophone et allophone
DATE
Titres de plus grande longévité
NOMBRE DE
SEMAINES
SUR LE
PALMARÈS
INTERPRÈTE
MEILLEUR
RANG
ATTEINT
TITRE
1998-10-10
32
Reno, Ginette
Hold on heart
11
1998-04-25
29
John, Elton
Recover your soul
17
1998-02-21
29
Madonna
Frozen
01
1998-10-31
27
Spears, Britney
Baby one more time
05
NOMBRE DE
SEMAINES AU
NO 1
03
1998-12-05
27
Adams, Bryan
When you're gone
01
02
1998-04-25
27
Adams, Bryan
I'm ready
01
07
1998-08-15
26
Cherry, Eagle-Eye
Save tonight
04
1998-07-18
25
Imbruglia, Natalie
Wishing I was there
03
1998-05-30
25
Aerosmith
I don't want to miss a thing
02
1998-01-31
24
Marcy Playground
Sex and candy
06
1999-10-02
58
Lonestar
Amazed
02
1999-02-06
55
John, Elton & Rimes, LeAnn
Written in the stars
11
1999-09-18
48
Anthony, Marc
I need to know
02
1999-07-24
48
Santana
Smooth
02
1999-09-25
45
Savage Garden
I knew I loved you
02
1999-04-24
45
Adams, Bryan
Cloud number nine
01
03
05
1999
1999-03-20
44
Sixpence none the richer
Kiss me
01
1999-10-09
40
Filter
Take a picture
4
1999-12-11
40
Backstreet Boys, The
Show me the meaning of being lonely
03
1999-06-19
39
McLachlan, Sarah
I will remember you
06
1999-11-20
38
Iglesias, Enrique
Rhythm divine, The
02
1999-04-17
38
Backstreet Boys, The
I want it that way
01
05
1999-10-23
37
Dion, Céline
That's the way it is
01
10
1999-08-14
34
Twain, Shania
You've got a way
07
1999-11-06
34
Adams, Bryan
Best of me, The
01
04
1999-08-21
32
Bega, Lou
Mambo no.5
01
06
1999-11-13
30
Foo Fighters
Learn to fly
03
1999-09-11
29
Twain, Shania
Man! I feel like a woman!
02
1999-04-17
29
Collins, Phil
You'll be in my heart
03
1999-06-05
28
Red Hot Chili Peppers
Scar tissue
24
1999-07-10
25
Iglesias, Enrique
Bailamos
02
33
Palmarès anglophone et allophone
DATE
Titres de plus grande longévité
NOMBRE DE
SEMAINES
SUR LE
PALMARÈS
INTERPRÈTE
TITRE
MEILLEUR
RANG
ATTEINT
1999-06-19
25
Aguilera, Christina
Genie in a bottle
01
1999-04-03
25
Dion, Céline & Bocelli, Andrea
Prayer, The
18
2000-03-18
52
Anthony, Marc
You sang to me
01
2000-10-14
39
N Sync
This I promise you
12
2000-03-25
36
3 Doors Down
Kryptonite
01
2000-10-07
36
Backstreet Boys, The
Shape of my heart
02
2000-12-16
34
Lifehouse
Hanging by a moment
05
03
NOMBRE DE
SEMAINES AU
NO 1
02
2000
05
01
2000-06-03
33
Iglesias, Enrique & Houston, Whitney
Could I have this kiss forever?
2000-11-18
33
Anthony, Marc
My baby you
12
2000-12-09
33
Dido
Thank you
01
2000-03-04
32
Iglesias, Enrique
Be with you
03
2000-02-19
32
Gray, Macy
I try
01
03
2000-09-23
31
Kravitz, Lenny
Again
01
07
2000-07-01
30
Nine Days
Absolutely
09
2000-04-29
30
Matchbox 20
Bent
02
2000-11-11
30
Furtado, Nelly
I'm like a bird
04
2000-02-26
29
Vertical Horizon
Everything you want
16
2000-02-12
29
Santana & Product G&B, The
Maria Maria
01
2000-05-20
29
Fabian, Lara
I will love again
20
2000-12-30
29
Matchbox 20
If you're gone
15
2000-09-02
28
Creed
With arms wide open
02
2000-12-09
26
Daft Punk
One more time
14
2000-11-11
26
Gray, David
Babylon
07
2000-03-25
25
Braxton, Toni
He wasn't man enough
11
2000-02-26
25
Twain, Shania
When
03
2000-11-04
25
Tea Party, The
Walking wounded
08
2001-03-10
41
Train
Drops of Jupiter
01
2001-11-03
39
Five for Fighting
Superman
03+
2001-09-29
38
Iglesias, Enrique
Hero
06
2001-08-25
33~
Enya
Only time
01
02
05
2001
04
01+
34
Palmarès anglophone et allophone
DATE
Titres de plus grande longévité
NOMBRE DE
SEMAINES
SUR LE
PALMARÈS
INTERPRÈTE
TITRE
MEILLEUR
RANG
ATTEINT
2001-10-13
31
Blige, Mary J.
Family affair
05
2001-07-28
31
Nickelback
How you remind me
01
2001-11-03
31
Minogue, Kylie
Can't get you out of my head
02
2001-09-22
31
Linkin Park
In the end
03
2001-10-06
31
Backstreet Boys, The
Drowning
14
2001-01-27
31
Richie, Lionel
Angel
13
NOMBRE DE
SEMAINES AU
NO 1
08
2001-01-13
30
Crazy Town
Butterfly
01
01
2001-10-20
30
Creed
My sacrifice
01
10
2001-09-29
29
Usher, David & Galios, Julie
Black black heart
03
2001-08-11
29
Keys, Alicia
Falling
06
2001-11-17
28
Puddle of Mudd
Blurry
02
2001-06-16
28
Hill, Faith
There you'll be
13
2001-07-14
27
Cantrell, Blu
Hit 'em up style (oops!)
03
2001-09-08
27
Kravitz, Lenny
Dig in
02
2001-03-31
27
American Hi-Fi
Flavour of the weak
10
2001-04-28
26
Backstreet Boys, The
More than that
19
2001-06-16
25
Jackson, Janet
Someone to call my lover
04
2001-09-08
25
S Club 7
Never had a dream come true
16
2001-05-19
25
Blink 182
Rockshow, The
05
2001-03-10
25
Jackson, Janet
All 4 you
02
2002
2002-06-22
41
Adams, Bryan
Here I am (End title)
01
2002-09-28
35
Collins, Phil
Can't stop lovin' you
13+
2002-11-16
34
Kroeger, Chad & Santana
Why don't you and I?
02
2002-03-09
32
Anthony, Marc
I need you
08
2002-09-14
31
Stone Sour
Bother
12+
08
2002-06-29
30
Shakira
Objection (Tango)
02
2002-10-19
30
Twain, Shania
I'm gonna getcha good!
01
08
2002-02-16
30
Dion, Céline
A new day has come
01
12
2002-07-06
30
Coldplay
In my place
03
2002-09-07
30
U2
Electrical storm
01
05
2002-11-02
29
Lopez, Jennifer
Jenny from the block
01
03
35
Palmarès anglophone et allophone
DATE
Titres de plus grande longévité
NOMBRE DE
SEMAINES
SUR LE
PALMARÈS
INTERPRÈTE
TITRE
MEILLEUR
RANG
ATTEINT
2002-02-09
29
Iglesias, Enrique
Escape
2002-11-16
29
t.A.T.u.
All the things she said
03
2002-11-23
29
Aguilera, Christina
Beautiful
06
NOMBRE DE
SEMAINES AU
NO 1
05
2002-10-05
29
Santana & Branch, Michelle
Game of love, The
02
2002-11-23
29
Lavigne, Avril
I'm with you
03
2002-04-27
29
Kroeger, Chad & Scott, Josey
Hero
01
09
2002-04-20
29
Lavigne, Avril
Complicated
01
01
2002-03-16
29
Crow, Sheryl
Soak up the sun
04
2002-06-29
29
Presley, Elvis
A little less conversation
01
2002-12-07
28
Iglesias, Enrique
Love to see you cry
05
2002-04-06
28
Our Lady Peace
Somewhere out there
07
05
2003
2003-08-16
56
3 Doors Down
Here without you
01
03+
2003-04-26
45
Uncle Kracker & Gray, Dobie
Drift away
01
09
2003-01-04
35
Coldplay
Clocks
01
05
2003-11-29
31
Evanescence
My immortal
01
02
2003-04-19
30
Live
Heaven
03
2003-06-28
30
Ataris
Boys of summer, The
05
2003-08-09
30
Nickelback
Someday
01
2003-11-01
30
Limp Bizkit
Behind blue eyes
07
2003-10-25
30
No Doubt
It's my life
04
2003-10-04
30
Crow, Sheryl
First cut is the deepest, The
02
2003-05-10
29
White Stripes, The
Seven nation army
05
2003-03-01
29
Kid Rock & Crow, Sheryl
Picture
05
2003-06-14
29
Branch, Michelle
Are you happy now?
04
01
2003-01-25
29
Twain, Shania
Up
01
03
2003-06-14
29
Knowles, Beyoncé & Jay-Z
Crazy in love
01
01
2003-05-17
29
Twain, Shania
Forever and for always
09
2003-03-29
29
Evanescence & McCoy, Paul
Bring me to life
01
2003-10-25
29
Linkin Park
Numb
05
2003-07-05
28
Lumidee
Never leave you (Uh ooh uhoooh)
05
2003-08-09
28
Simply Red
Sunrise 2003
01
08
07
36
Palmarès anglophone et allophone
DATE
Titres de plus grande longévité
NOMBRE DE
SEMAINES
SUR LE
PALMARÈS
INTERPRÈTE
MEILLEUR
RANG
ATTEINT
TITRE
2003-04-19
28
Train
Calling all angels
10
2003-09-20
28
Dido
White flag
01
2003-11-22
28
Outkast
Hey ya
4
2003-11-01
28
Jet
Are you going to be my girl?
14
2003-03-15
28
Linkin Park
Somewhere I belong
09
2003-10-04
28
McLachlan, Sarah
Fallen
02
2004-08-07
50+
Maroon 5
She will be loved
02
2004-03-06
42
Hoobastank
Reason, The
01
2004-05-29
32
Lonely Boys, Los
Heaven
02
NOMBRE DE
SEMAINES AU
NO 1
17
2004
2004-02-21
31
Maroon 5
This love
01
2004-03-13
30
Dido
Don't leave home
05
2004-04-10
30
Seether & Lee, Amy
Broken
01
2004-07-10
30
Keane
Somewhere only we know
10
2004-06-19
30
Linkin Park
Breaking the habit
01
2004-12-11
30
Good Charlotte
I just wanna live
02
2004-09-18
30
Simple Plan
Welcome to my life
01
2004-06-19
29
Killers, The
Somebody told me
02
2004-06-19
29
Train
Ordinary
03
2004-02-14
29
Blink 182
I miss you
04
2004-01-31
29
Jacksoul
Still believe in love
17
2004-07-10
29
Black Eyed Peas
Let's get it started
09
2004-09-25
29
Twain, Shania & McGrath, Mark
A party for two
09
2004-05-15
29
Anastacia
Left outside alone
02
2004-02-21
29
Jones, Norah
Sunrise
05
2004-05-01
28
Michael, George
Amazing
02
2004-08-07
28
Adams, Bryan
Open road
03
2004-03-13
28
Usher & Lil Jon & Ludacris
Yeah
05
2004-03-20
28
Simply Red
You make me feel brand new
12
2004-10-16
28
Depeche Mode
Enjoy the silence
08
2004-01-17
28
Five for Fighting
100 years
06
2004-01-17
28
Darkness, The
I believe in a thing called love
08
17+
02
02
01
05
37
Palmarès anglophone et allophone
DATE
2004-11-27
Titres de plus grande longévité
NOMBRE DE
SEMAINES
SUR LE
PALMARÈS
28
INTERPRÈTE
MEILLEUR
RANG
ATTEINT
TITRE
Jet
Look what you've done
NOMBRE DE
SEMAINES AU
NO 1
09
2005
2005-06-25
41
Powter, Daniel
Bad day
02
2005-08-13
40
Blunt, James
You're beautiful
01
2005-04-23
39
Simple Plan
Untitled (How could this happen to me)
02
2005-02-26
36
Bublé, Michael
Home
05
2005-10-22
31
Madonna
Hung up
02
2005-12-31
30
Nickelback
Savin' me
03
2005-11-12
30
Coldplay
Talk
02
2005-11-26
29
Jonas
Show me
03
2005-07-02
29
Green Day
Wake me up when September ends
02
2005-04-30
29
Coldplay
Speed of sound
01
2005-04-09
29
Backstreet Boys, The
Incomplete
02
2005-03-05
29
Thomas, Rob
Lonely no more
01
2005-03-26
29
Brown, Divine
Old skool love
10
2005-09-17
29
Simple Plan
Crazy
01
2005-07-30
29
Bon Jovi
Have a nice day
3
2005-04-09
29
Weezer
Beverly Hills
04
2005-07-23
29
Johnson, Jack
Good people
06
2005-04-09
28
Johnson, Jack
Sitting waiting wishing
01
2005-06-04
28
Jonas
Edge of seventeen
10
2005-09-10
28
Bedouin Soundclash
When the night feels my song
07
2005-09-03
28
2005-10-01
28
Arcade Fire
Wake up
West, Kanye & Foxx, Jamie & Charles,
Ray
Gold digger
21
11
07
01
01
21
11
2006
2006-05-27
43
Barkley, Gnarls
Crazy
01
2006-01-07
35
Bedingfield, Natasha
Unwritten
07
2006-04-29
30
Lee, Ben
Catch my disease
02
2006-02-04
30
Bublé, Michael
Save the last dance for me
04
2006-02-04
30
Johnson, Jack
Upside down
02
04
2006-05-20
30
Charles, Grégory
I think of you
01
11
2006-01-21
30
Madonna
Sorry
01
11
38
Palmarès anglophone et allophone
DATE
Titres de plus grande longévité
NOMBRE DE
SEMAINES
SUR LE
PALMARÈS
INTERPRÈTE
MEILLEUR
RANG
ATTEINT
TITRE
2006-08-19
30
Madonna
Jump
2006-07-15
29
Pussycat Dolls, The
Buttons
04
2006-07-15
29
Snow Patrol
Chasing cars
05
NOMBRE DE
SEMAINES AU
NO 1
5
2006-04-15
29
Shakira & Jean, Wyclef
Hips don't lie
01
2006-02-18
29
Rihanna
S.O.S. (Rescue me)
03
2006-07-22
29
Timberlake, Justin
Sexy back
01
2006-07-01
28
Nickelback
Far away
06
2006-05-06
28
Fort Minor
Where'd you go?
07
2006-05-20
28
Furtado, Nelly & Timbaland
Promiscuous
04
2006-02-11
28
Sinclar, Bob
Love generation
05
2006-01-14
28
Blunt, James
Wisemen
02
2006-01-21
28
Paul, Sean
Temperature
16
2006-04-15
27
Blunt, James
Goodbye my lover
03
2006-07-29
27
Melua, Katie
Nine millions bicycles
15
2006-08-12
27
Evanescence
Call me when you're sober
02
2006-03-25
27
Champion
No heaven
20
2006-04-29
27
Blue October
Hate me
05
2006-04-08
27
Red Hot Chili Peppers
Dani California
03
02
03
2007
2007-01-06
43
Stefani, Gwen
Sweet escape, The
01
2007-05-26
42
Plain White T's
Hey there Delilah
02 +
2007-10-20
36
Timbaland & Onerepublic
Apologize
01
2007-08-25
35
Last Goodnight, The
Pictures of you
07+
05
15
2007-11-24
31
Picard, Pascale
Smilin'
01
03
2007-04-07
30
Maroon 5
Makes me wonder
1
1
2007-09-08
30
West, Kanye
Stronger
07
2007-04-14
30
Furtado, Nelly
All good things (come to an end)
01
02
2007-03-31
30
Bon Jovi
You want to) Make a memory
01
04
2007-12-15
30
Johnson, Jack
If I had eyes
01
01
2007-06-09
30
Deluna, Kat
Whine up
07
2007-07-07
30
Mika
Relax, take it easy
02
2007-07-28
30
Blunt, James
1973
01
07
39
Palmarès anglophone et allophone
DATE
Titres de plus grande longévité
NOMBRE DE
SEMAINES
SUR LE
PALMARÈS
INTERPRÈTE
MEILLEUR
RANG
ATTEINT
TITRE
2007-12-01
30
Blunt, James
Same mistake
03
2007-06-30
29
Cossette, Sylvain
More than a feeling
08
2007-07-14
29
Winehouse, Amy
Rehab
07
2007-03-24
29
Gym Class Heroes
Cupid's chokehold
04
2007-08-11
29
Maroon 5
Wake up call
14
2007-11-10
29
Simple Plan
When I'm gone
02
2007-09-22
29
Dion, Céline
Taking chances
01
2007-09-22
29
Bublé, Michael
Lost
10
2007-10-06
29
Rihanna
Don't stop the music
03
2007-09-22
29
Santana & Kroeger, Chad
Into the night
03
2007-01-20
29
Jules, Gary
Mad world
03
2007-10-06
29
Lavigne, Avril
Hot
13
2007-03-31
29
Bublé, Michael
Everything
06
NOMBRE DE
SEMAINES AU
NO 1
02
2008
2008-04-19
40
Kid Rock
All summer long
01
2008-11-08
38+
Mraz, Jason
I'm yours
02+
2008-02-02
37
Lewis, Leona
Bleeding love
01
2008-09-06
30
Perry, Katy
Hot 'n' cold
02
2008-08-23
30
Rudolf, Kevin & Lil Wayne
Let it rock
02
2008-06-21
29
Coldplay
Viva la vida
01
2008-03-22
29
Madonna & Timberlake, Justin
4 minutes
02
2008-02-02
29
Bareilles, Sara
Love song
09
2008-03-22
29
Cossette, Sylvain
Rocket man
08
2008-06-07
29
Perry, Katy
I kissed a girl
02
2008-06-07
29
Metro Station
Shake it
06
2008-07-26
29
Theory Of A Deadman
All or nothing
20
2008-09-06
29
McLachlan, Sarah
U want me 2
04
2008-10-11
29
Killers, The
Human
04
2008-11-08
28
Knowles, Beyoncé
If I were a boy
04
2008-07-05
28
Rihanna
Disturbia
05
2008-09-06
28
AC/DC
Rock 'n' roll train
4
2008-03-22
28
Dion, Céline
Alone
05
08
07
08
40
Palmarès anglophone et allophone
DATE
Titres de plus grande longévité
NOMBRE DE
SEMAINES
SUR LE
PALMARÈS
INTERPRÈTE
TITRE
MEILLEUR
RANG
ATTEINT
NOMBRE DE
SEMAINES AU
NO 1
2008-09-06
28
Pink
So what
03
2008-03-01
28
Crash Parallel
World we know
14
2008-01-05
28
Onerepublic
Stop and stare
11
2008-04-19
28
Hedley
Never too late
06
2008-10-18
28
Madonna
Miles away
01
03
2008-03-29
28
Duffy
Mercy
01
07
2008-06-28
28
Madonna
Give it 2 me
01
01
04
2009
2009-06-20
49
Black Eyed Peas
I gotta feeling
01
2009-11-07
31
Milow
Ayo technology
02
2009-11-07
31
Timbaland & So Shy
Morning after dark
03
2009-03-14
31
Madcon
Beggin'
01
2009-04-18
31
Pink
Please don't leave me
06
2009-05-30
31
Linkin Park
New divide
03
2009-03-07
30
New Cities, The
Dead end countdown
04
2009-09-12
30
Black Eyed Peas
Meet me halfway
09
2009-01-24
30
Rudolf, Kevin
Welcome to the world
15
07
2009-08-08
30
Madonna
Celebration
01
08
2009-05-16
30
Pitbull
I know you want me (Calle ocho)
01
10
2009-01-24
29
Lady GaGa
Lovegame
02
2009-05-16
29
Kingston, Sean
Fire burning
02
2009-02-07
29
Rida, Flo
Right round
01
01
2009-09-26
29
La Roux
Bulletproof
01
01
2009-07-25
29
Shakira
She wolf
01
01
2009-09-12
29
Bublé, Michael
Haven't met you yet
03
2009-11-21
29
Owl City
Fireflies
02
2009-10-17
29
Ke$ha
Tik tok
01
07
2009-10-31
29
Lady GaGa
Bad romance
01
01
2009-06-06
29
Guetta, David & Rowland, Kelly
When love takes over
06
INSCRIPTIONS MULTIPLES
Total
28+
Checker, Chubby
Twist, The
01
Total
22
Black, Terry & Ward, Laurel
Goin' down (on the road to L.A.)
02
3
41
Palmarès anglophone et allophone
DATE
NOMBRE DE
SEMAINES
SUR LE
PALMARÈS
Titres de plus grande longévité
INTERPRÈTE
TITRE
MEILLEUR
RANG
ATTEINT
Total
22
Valens, Ritchie
Donna
Total
21
Pickett, Bobby Boris
Monster mash
03
Total
20
Springsteen, Bruce
Secret garden
09
Total
19
Righteous Brothers, The
Unchained melody
16
NOMBRE DE
SEMAINES AU
NO 1
02
42