Postes SPEA vacants SIAM
Transcription
Postes SPEA vacants SIAM
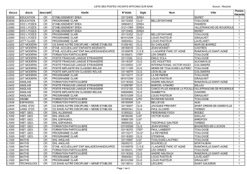
LISTE DES POSTES VACANTS AFFICHES SUR SIAM discco E0030 E0030 L0080 L0080 L0080 L0080 L0080 L0201 L0202 L0202 L0202 L0202 L0202 L0202 L0202 L0202 L0202 L0202 L0202 L0422 L0422 L0422 L0422 L0422 L0423 L0426 L0444 L0444 L1000 L1000 L1000 L1000 L1000 L1000 L1000 L1000 L1300 L1300 L1300 L1300 L1300 L1300 L1300 L1400 disclc descriptif EDUCATION EDUCATION DOC LYCEES DOC LYCEES DOC LYCEES DOC LYCEES DOC LYCEES LETT CLASS LET MODERN LET MODERN LET MODERN LET MODERN LET MODERN LET MODERN LET MODERN LET MODERN LET MODERN LET MODERN LET MODERN ANGLAIS ANGLAIS ANGLAIS ANGLAIS ANGLAIS ARABE ESPAGNOL LANG. D'OC LANG. D'OC HIST. GEO. HIST. GEO. HIST. GEO. HIST. GEO. HIST. GEO. HIST. GEO. HIST. GEO. HIST. GEO. MATHS MATHS MATHS MATHS MATHS MATHS MATHS TECHNOLOGI CR CR CR CR CR CR CR CR CR CR CR CR CR CR CR CR CR CR CR CR CR CR CR CR CR CR CR CR CR CR CR CR CR CR CR CR CR CR CR CR CR CR CR CR libellé ETABLISSEMENT EREA PROGRAMME CLAIR ETABLISSEMENT EREA ETABLISSEMENT EREA ETABLISSEMENT EREA PROGRAMME CLAIR PROGRAMME CLAIR PROGRAMME CLAIR CS DANS AUTRE DISCIPLINE + MEME ETABLISS ETAB. ACCUEILLANT ENFANTS MIGRANTS ETAB. ACCUEILLANT ENF.MALADES/HANDICAPES FORMATION PARTICULIERE POSTE FRANCAIS LANGUE ETRANGERE POSTE FRANCAIS LANGUE ETRANGERE POSTE FRANCAIS LANGUE ETRANGERE POSTE IMPLANTE EN CLASSES RELAIS POSTE IMPLANTE EN CLASSES RELAIS PROGRAMME CLAIR PROGRAMME CLAIR FORMATION PARTICULIERE POSTE FRANCAIS LANGUE ETRANGERE POSTE FRANCAIS LANGUE ETRANGERE POSTE IMPLANTE EN CLASSES RELAIS PROGRAMME CLAIR FORMATION PARTICULIERE FORMATION PARTICULIERE CS DANS AUTRE DISCIPLINE + MEME ETABLISS CS DANS AUTRE DISCIPLINE + MEME ETABLISS DNL ALLEMAND DNL ANGLAIS DNL ESPAGNOL DNL ESPAGNOL FORMATION PARTICULIERE FORMATION PARTICULIERE PROGRAMME CLAIR PROGRAMME CLAIR DNL ANGLAIS DNL ANGLAIS ETAB. ACCUEILLANT ENF.MALADES/HANDICAPES FORMATION PARTICULIERE FORMATION PARTICULIERE PROGRAMME CLAIR PROGRAMME CLAIR CS DANS AUTRE DISCIPLINE + MEME ETABLISS N° établ. 0311240E 0311235Z 0090481Z 0121178R 0311240E 0311235Z 0810125W 0090490J 0120016C 0810061B 0310087B 0310947L 0311338L 0311632F 0312093G 0311112R 0311687R 0311321T 0810125W 0311633G 0120878P 0121213D 0460006G 0810125W 0310040A 0810005R 0311850T 0650034J 0120022J 0810023K 0090013R 0650025Z 0310005M 0311837D 0311321T 0311630D 0311586F 0820021C 0310087B 0310947L 0311633G 0090490J 0810125W 0311851U Page 1 de 2 Sigle EREA CLG* EREA EREA EREA CLG* CLG CLG CLG CLG C.S.E. ITEP CLG CLG LGT CLG CLG CLG* CLG CLG CLG CLG CLG CLG LPO LG CLG CLG LG LGT LGT LG CLG ITEP CLG* CLG LGT LGT C.S.E. ITEP CLG CLG CLG CLG Source : Rectorat Postes Vacants MURET 1 BELLEFONTAINE TOULOUSE 1 PAMIERS 1 VILLEFRANCHE-DE-ROUERGUE 1 MURET 1 BELLEFONTAINE TOULOUSE 1 LOUIS PASTEUR GRAULHET 1 LOUIS PASTEUR LAVELANET 1 DU CARLADEZ MUR-DE-BARREZ 1 JEAN MONNET CASTRES 1 J LAGARDE PARC ST AGNE RAMONVILLE-SAINT-AGNE 1 LES ORMES TOULOUSE 1 EMILE ZOLA TOULOUSE 1 LES VIOLETTES AUCAMVILLE 1 INTERNATIONAL VICTOR HUGO COLOMIERS 1 HENRI DE TOULOUSE-LAUTREC TOULOUSE 1 LEON BLUM COLOMIERS 1 LA REYNERIE TOULOUSE 1 LOUIS PASTEUR GRAULHET 1 ANDRE MALRAUX RAMONVILLE-SAINT-AGNE 1 MARCEL AYMARD MILLAU 1 CARCO PLUS ANNEXE LA FOUILLADE VILLEFRANCHE-DE-ROUERGUE 1 GAMBETTA CAHORS 1 LOUIS PASTEUR GRAULHET 1 RAYMOND NAVES TOULOUSE 1 BELLEVUE ALBI 1 JACQUES PREVERT SAINT-ORENS-DE-GAMEVILLE 1 PAUL ELUARD TARBES 1 FERDINAND FOCH RODEZ 1 VICTOR HUGO GAILLAC 1 MIREPOIX 1 THEOPHILE GAUTIER TARBES 1 JEAN MONNET BAGNERES-DE-LUCHON 1 PAUL LAMBERT TOULOUSE 1 LA REYNERIE TOULOUSE 1 STENDHAL TOULOUSE 1 TOULOUSE-LAUTREC TOULOUSE 1 BOURDELLE MONTAUBAN 1 J LAGARDE PARC ST AGNE RAMONVILLE-SAINT-AGNE 1 LES ORMES TOULOUSE 1 ANDRE MALRAUX RAMONVILLE-SAINT-AGNE 1 LOUIS PASTEUR LAVELANET 1 LOUIS PASTEUR GRAULHET 1 LECLERC SAINT-GAUDENS 1 Nom Ville LISTE DES POSTES VACANTS AFFICHES SUR SIAM discco L1400 L1400 L1500 L1500 L1500 L1510 L1510 L1600 L1700 L1700 L1700 L1700 L1800 L2100 L8011 L8011 L8011 L8012 L8015 disclc descriptif TECHNOLOGI TECHNOLOGI PHY.CHIMIE PHY.CHIMIE PHY.CHIMIE PH ELEC AP PH ELEC AP S. V. T. EDU MUSICA EDU MUSICA EDU MUSICA EDU MUSICA ARTS PLAST G IND BOIS ECO GES AD ECO GES AD ECO GES AD ECO GES CP MUC CR CR CR CR CR CR CR CR CR CR CR CR CR CR CR CR CR CR CR libellé POSTE IMPLANTE EN CLASSES RELAIS PROGRAMME CLAIR DNL ESPAGNOL FORMATION PARTICULIERE FORMATION PARTICULIERE PREPARATION BTS PREPARATION BTS DNL ANGLAIS HORAIRES AMENAGES EDUCATION MUSICALE HORAIRES AMENAGES EDUCATION MUSICALE HORAIRES AMENAGES EDUCATION MUSICALE PROGRAMME CLAIR SERIE L ARTS PLASTIQUES, EDUC. MUSICALE PREPARATION BTS DNL ANGLAIS PREPARATION BTS PREPARATION BTS PREPARATION BTS PREPARATION BTS N° établ. 0811030E 0311265G 0311323V 0311586F 0311633G 0312267W 0312822Z 0312267W 0310083X 0810126X 0820588U 0311630D 0312267W 0121454R 0310040A 0310032S 0311586F 0310024H 0310046G Page 2 de 2 Sigle CLG CLG LGT LGT CLG LGT LPO LGT CLG CLG CLG CLG LGT SGT LPO LGT LGT LGT LPO LY Source : Rectorat Nom BELLEVUE LALANDE RIVE GAUCHE TOULOUSE-LAUTREC ANDRE MALRAUX DES ARENES CHARLES DE GAULLE DES ARENES DIDIER DAURAT JEAN-LOUIS ETIENNE OLYMPE DE GOUGES STENDHAL DES ARENES LP LYC METIER DU BATIMENT RAYMOND NAVES DE BAGATELLE TOULOUSE-LAUTREC PIERRE D'ARAGON HOTELLERIE ET TOURISME Ville ALBI TOULOUSE TOULOUSE TOULOUSE RAMONVILLE-SAINT-AGNE TOULOUSE MURET TOULOUSE SAINT-GAUDENS MAZAMET MONTAUBAN TOULOUSE TOULOUSE AUBIN TOULOUSE SAINT-GAUDENS TOULOUSE MURET TOULOUSE Postes Vacants 1 1 1 1 1 2 1 1 1 1 1 1 1 1 1 1 1 1 1
TARBES CEDEX